„TIBR ინდექსების გაანგარიშების წესის დამტკიცების შესახებ“ საქართველოს ეროვნული ბანკის პრეზიდენტის 2021 წლის 12 ოქტომბრის №146/04 ბრძანებაში ცვლილების შეტანის თაობაზე

„TIBR ინდექსების გაანგარიშების წესის დამტკიცების შესახებ“ საქართველოს ეროვნული ბანკის პრეზიდენტის 2021 წლის 12 ოქტომბრის №146/04 ბრძანებაში ცვლილების შეტანის თაობაზე
დოკუმენტის ნომერი 291/04
დოკუმენტის მიმღები საქართველოს ეროვნული ბანკის პრეზიდენტი
მიღების თარიღი 22/12/2025
დოკუმენტის ტიპი საქართველოს ეროვნული ბანკის პრეზიდენტის ბრძანება
გამოქვეყნების წყარო, თარიღი ვებგვერდი, 23/12/2025
ძალაში შესვლის თარიღი 01/01/2026
სარეგისტრაციო კოდი 220010010.18.011.016961
291/04
22/12/2025
ვებგვერდი, 23/12/2025
220010010.18.011.016961
„TIBR ინდექსების გაანგარიშების წესის დამტკიცების შესახებ“ საქართველოს ეროვნული ბანკის პრეზიდენტის 2021 წლის 12 ოქტომბრის №146/04 ბრძანებაში ცვლილების შეტანის თაობაზე
საქართველოს ეროვნული ბანკის პრეზიდენტი
 

საქართველოს ეროვნული ბანკის პრეზიდენტის

ბრძანება №291/04

2025 წლის 22 დეკემბერი

ქ. თბილისი

 

„TIBR ინდექსების გაანგარიშების წესის დამტკიცების შესახებ“ საქართველოს ეროვნული ბანკის პრეზიდენტის 2021 წლის 12 ოქტომბრის №146/04 ბრძანებაში ცვლილების შეტანის თაობაზე

„საქართველოს ეროვნული ბანკის შესახებ“ საქართველოს ორგანული კანონის მე-15 მუხლის პირველი პუნქტის „ზ“ ქვეპუნქტისა და „ნორმატიული აქტების შესახებ“ საქართველოს ორგანული კანონის მე-20 მუხლის მე-4 პუნქტის საფუძველზე, ვბრძანებ:

მუხლი 1
„TIBR ინდექსების გაანგარიშების წესის დამტკიცების შესახებ“ საქართველოს ეროვნული ბანკის პრეზიდენტის 2021 წლის 12 ოქტომბრის №146/04 ბრძანებაში (www.matsne.gov.ge; 13/10/2021; ს/კ: 220010010.18.011.016595) შეტანილ იქნეს შემდეგი ცვლილება:

1. ბრძანების:

ა) სათაური ჩამოყალიბდეს შემდეგი რედაქციით:

„თბილისის ბანკთაშორისი საპროცენტო განაკვეთის (TIBR) ინდექსების გაანგარიშებისა და გამოქვეყნების წესის დამტკიცების შესახებ“;

ბ) პირველი მუხლი ჩამოყალიბდეს შემდეგი რედაქციით:

„მუხლი 1

დამტკიცდეს თბილისის ბანკთაშორისი საპროცენტო განაკვეთის (TIBR) ინდექსების გაანგარიშებისა და გამოქვეყნების  წესი თანდართული რედაქციით.“.

2. ბრძანებით დამტკიცებული წესის:

ა) სათაური ჩამოყალიბდეს შემდეგი რედაქციით:

„თბილისის ბანკთაშორისი საპროცენტო განაკვეთის (TIBR) ინდექსების გაანგარიშებისა და გამოქვეყნების წესი“;

ბ) პირველი მუხლის:

ბ.ა) პირველი პუნქტი ჩამოყალიბდეს შემდეგი რედაქციით:

„1. თბილისის ბანკთაშორისი საპროცენტო განაკვეთის (TIBR) ინდექსების გაანგარიშებისა და გამოქვეყნების წესი (შემდგომში − წესი) აღწერს თბილისის ბანკთაშორისი საპროცენტო განაკვეთის (შემდგომში − TIBR განაკვეთი/TIBR) გაანგარიშებაში მონაწილე კომერციულ ბანკებსა და მიკრობანკებს (შემდგომში − ბანკები) შორის ფულად ბაზარზე დადებული გარიგებების კრიტერიუმებს, ასევე TIBR ინდექსების გაანგარიშების, გამოქვეყნებისა და სხვა პროცედურულ საკითხებს.“;

ბ.ბ) მე-3 პუნქტი ჩამოყალიბდეს შემდეგი რედაქციით:

„3. TIBR განაკვეთი არის ურისკო ბენჩმარკ საპროცენტი განაკვეთი, რომელიც ასახავს საქართველოში მოქმედ ბანკებს შორის (შემდგომში − ბანკთაშორისი) ეროვნული ვალუტით ამ წესის შესაბამისი პირობებით დადებული გარიგებების მოცულობის 80%-ის საშუალო შეწონილ საპროცენტო განაკვეთს.“;

ბ.გ) მე-3 პუნქტის შემდეგ დაემატოს შემდეგი შინაარსის 31 პუნქტი:

„31. TIBR განაკვეთი არის მინიმალური საკრედიტო, ლიკვიდობისა და სხვა სახის რისკების პირობებში ბანკთაშორისი ფულადი სახსრების სესხებისა და გასესხების საპროცენტო განაკვეთის საზომი და საფინანსო ბაზარზე გამოიყენება, როგორც ლარში დენომინირებული ცვლადგანაკვეთიანი ფინანსური ინსტრუმენტის საორიენტაციო საპროცენტო განაკვეთი.“;

 

ბ.დ) მე-5 პუნქტის შემდეგ დაემატოს შემდეგი შინაარსის მე-6 პუნქტი:

„6. TIBR განაკვეთი და TIBR ვადიანი განაკვეთი არის წლიური საპროცენტო განაკვეთი (ACT/365 კონვენციით) მძიმის შემდეგ ოთხი ციფრის სიზუსტით.“;

გ) მე-3 მუხლის მე-3 პუნქტის:

გ.ა) „ბ“ ქვეპუნქტი ჩამოყალიბდეს შემდეგი რედაქციით:

„ბ) საპროცენტო განაკვეთების ზრდის მიხედვით დალაგებული ბანკთაშორისი გარიგებების ჯამურ მოცულობას აკლდება ზედა გარიგებები ან/და მათი ნაწილი და ქვედა გარიგებები ან/და მათი ნაწილი, რომელთა მოცულობაც შეესაბამება ბანკთაშორისი გარიგებების ჯამური მოცულობის 10%-10%-ს. ეს გარიგებები არ იღებს მონაწილეობას TIBR განაკვეთის გაანგარიშებაში.“;

გ.ბ) „დ“ქვეპუნქტი ჩამოყალიბდეს შემდეგი რედაქციით:

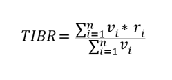
„დ) TIBR განაკვეთის საშუალო შეწონილი პროცენტი გაიანგარიშება შემდეგი ფორმულით:

 

,

სადაც:

vi − არის ერთნაირი საპროცენტო განაკვეთის მქონე ri გარიგებების კუმულატიური მოცულობა;

ri − არის გარიგებაზე დაფიქსირებული წლიური საპროცენტო განაკვეთი;

n − არის გარიგებებში სხვადასხვა საპროცენტო განაკვეთების  რაოდენობა.“;

გ.გ) „ე“ ქვეპუნქტი ამოღებულ იქნეს.

დ) მე-6 მუხლი ჩამოყალიბდეს შემდეგი რედაქციით:

„მუხლი 6. TIBR განაკვეთის გაანგარიშების სარეზერვო გეგმა

1. თუ საანგარიშო დღის განმავლობაში TIBR განაკვეთის გაანგარიშებაში მონაწილე გარიგებების საერთო რაოდენობა 5-ზე ნაკლებია ან/და დაშვებული გარიგებების მთლიანი მოცულობა 50 (ორმოცდაათ) მილიონ ლარზე ნაკლებია, TIBR განაკვეთის გაანგარიშებას ეროვნული ბანკი ახორციელებს პირველი სარეზერვო გეგმის მიხედვით.

2. პირველი სარეზერვო გეგმის მიხედვით, TIBR განაკვეთის საშუალო შეწონილი პროცენტი გაიანგარიშება ამ წესის მე-3 მუხლის მე-3 პუნქტის „დ“ ქვეპუნქტით განსაზღვრული ფორმულის შესაბამისად და გაითვალისწინება შემდეგი მონაცემები:

ა) ამ წესის მე-2 მუხლისა და მე-3 მუხლის მე-3 პუნქტის „ა“ და „ბ“ ქვეპუნქტების შესაბამისი გარიგებები;

ბ) TIBR განაკვეთის გაანგარიშების დღეს გამოყენებული ეროვნული ბანკის ერთდღიანი სესხის ჯამურ მოცულობასა და ეროვნული ბანკის ერთდღიანი დეპოზიტის ჯამურ მოცულობას შორის უდიდესი მოცულობის 10%, რომლის საპროცენტო განაკვეთად გამოიყენება შემდეგნაირად გაანგარიშებული საპროცენტო განაკვეთი:

ბ.ა) ეროვნული ბანკის ერთდღიანი სესხის მოცულობის გამოყენების შემთხვევაში, ეროვნული ბანკის ერთდღიანი სესხის საპროცენტო განაკვეთს გამოკლებული ბოლო 5 (ხუთი) საბანკო დღის განმავლობაში ყოველდღიურ TIRB განაკვეთსა და ეროვნული ბანკის ერთდღიანი სესხის საპროცენტო განაკვეთს შორის სხვაობების საშუალო მაჩვენებელი;

ბ.ბ) ეროვნული ბანკის ერთდღიანი დეპოზიტის მოცულობის გამოყენების შემთხვევაში, ეროვნული ბანკის ერთდღიანი დეპოზიტის საპროცენტო განაკვეთს დამატებული ბოლო 5 (ხუთი) საბანკო დღის განმავლობაში ყოველდღიურ TIRB განაკვეთსა და ეროვნული ბანკის ერთდღიანი დეპოზიტის საპროცენტო განაკვეთს შორის სხვაობების საშუალო მაჩვენებელი.

3. თუ პირველი სარეზერვო გეგმის მიხედვით გაანგარიშებული გარიგებების ჯამური მოცულობა არის 50 (ორმოცდაათ) მილიონ ლარზე ნაკლები, მაშინ ეროვნული ბანკი იყენებს მეორე სარეზერვო გეგმას.

4. მეორე სარეზერვო გეგმის მიხედვით, TIBR განაკვეთი გაიანგარიშება, როგორც ეროვნული ბანკის მონეტარული პოლიტიკის განაკვეთს დამატებული წინა 5 (ხუთი) საბანკო დღის TIBR განაკვეთისა და ეროვნული ბანკის მონეტარული პოლიტიკის საპროცენტო განაკვეთს შორის სხვაობის საშუალო განაკვეთი.

5. თუ TIBR განაკვეთის გაანგარიშება მეორე სარეზერვო გეგმის მიხედვით მიყოლებით გრძელდება 5 (ხუთი) საბანკო დღის განმავლობაში, მაშინ TIBR განაკვეთი არის ეროვნული ბანკის მონეტარული პოლიტიკის განაკვეთი.

6. სარეზერვო გეგმის გამოყენების ფაქტი აისახება ეროვნული ბანკის ოფიციალური ვებგვერდის სტატისტიკური მონაცემების გვერდზე განთავსებულ თბილისის ბანკთაშორისი საპროცენტო განაკვეთის ექსელის ფაილში.

7. სარეზერვო გეგმა გამოიყენება მოკლევადიანი პერიოდისთვის, ხოლო მისი გრძელვადიანი პერიოდით გამოყენების შემთხვევაში ეროვნული ბანკი მოქმედებს ამ წესის მე-8 მუხლის შესაბამისად.“;

ე) მე-7 მუხლის პირველი პუნქტის პრეამბულა ჩამოყალიბდეს შემდეგი რედაქციით:

„1. ყოველ საბანკო დღეს, არაუგვიანეს დღის 10:00 საათისა, ეროვნული ბანკი უზრუნველყოფს:“.

მუხლი 2
ეს ბრძანება ამოქმედდეს 2026 წლის 1 იანვრიდან.

საქართველოს ეროვნული ბანკის პრეზიდენტინათელა თურნავა