„ტექნიკური რეგლამენტის „ავტოსადგურის და ავტოსადგომის ფუნქციონირების წესისა და პირობების“ დამტკიცების თაობაზე“ საქართველოს მთავრობის 2013 წლის 31 დეკემბრის №442 დადგენილებაში ცვლილების შეტანის შესახებ

„ტექნიკური რეგლამენტის „ავტოსადგურის და ავტოსადგომის ფუნქციონირების წესისა და პირობების“ დამტკიცების თაობაზე“ საქართველოს მთავრობის 2013 წლის 31 დეკემბრის №442 დადგენილებაში ცვლილების შეტანის შესახებ
დოკუმენტის ნომერი 170
დოკუმენტის მიმღები საქართველოს მთავრობა
მიღების თარიღი 21/05/2024
დოკუმენტის ტიპი საქართველოს მთავრობის დადგენილება
გამოქვეყნების წყარო, თარიღი ვებგვერდი, 22/05/2024
სარეგისტრაციო კოდი 300160070.10.003.024564
170
21/05/2024
ვებგვერდი, 22/05/2024
300160070.10.003.024564
„ტექნიკური რეგლამენტის „ავტოსადგურის და ავტოსადგომის ფუნქციონირების წესისა და პირობების“ დამტკიცების თაობაზე“ საქართველოს მთავრობის 2013 წლის 31 დეკემბრის №442 დადგენილებაში ცვლილების შეტანის შესახებ
საქართველოს მთავრობა
 

საქართველოს მთავრობის

დადგენილება №170

2024 წლის 21 მაისი

ქ. თბილისი

„ტექნიკური რეგლამენტის „ავტოსადგურის და ავტოსადგომის ფუნქციონირების წესისა და პირობების“ დამტკიცების თაობაზე“ საქართველოს მთავრობის 2013 წლის 31 დეკემბრის №442 დადგენილებაში ცვლილების შეტანის შესახებ

მუხლი 1
„ნორმატიული აქტების შესახებ“ საქართველოს ორგანული კანონის მე-20 მუხლის მე-4 პუნქტის, „საავტომობილო ტრანსპორტის შესახებ“ საქართველოს კანონის 61 მუხლის მე-5 და მე-6 პუნქტებისა და 62 მუხლის მე-3 პუნქტის შესაბამისად, „ტექნიკური რეგლამენტის „ავტოსადგურის და ავტოსადგომის ფუნქციონირების წესისა და პირობების“ დამტკიცების თაობაზე“ საქართველოს მთავრობის 2013 წლის 31 დეკემბრის №442 დადგენილებაში (www.matsne.gov.ge, 10/01/2014, 300160070.10.003.017642) შეტანილ იქნეს ცვლილება და:

1. დადგენილების პირველი მუხლი ჩამოყალიბდეს შემდეგი რედაქციით:

მუხლი 1. პროდუქტის უსაფრთხოებისა და თავისუფალი მიმოქცევის კოდექსის 58-ე მუხლის მე-2 ნაწილის, „ნორმატიული აქტების შესახებ“ საქართველოს ორგანული კანონის მე-12 მუხლის, „საავტომობილო ტრანსპორტის შესახებ“ საქართველოს კანონის 61 მუხლის მე-5 და მე-6 პუნქტებისა და 62 მუხლის მე-3 პუნქტის შესაბამისად, დამტკიცდეს თანდართული „ტექნიკური რეგლამენტი ავტოსადგურის და ავტოსადგომის ფუნქციონირების წესი და პირობები“.“.

2. დადგენილებით დამტკიცებული „ტექნიკური რეგლამენტის ავტოსადგურის და ავტოსადგომის ფუნქციონირების წესისა და პირობების“:

ა) პირველი და მე-2 მუხლები ჩამოყალიბდეს შემდეგი რედაქციით:

მუხლი 1. ზოგადი დებულებანი

„ტექნიკური რეგლამენტი ავტოსადგურის და ავტოსადგომის ფუნქციონირების წესი და პირობები“ (შემდგომში – წესი) ადგენს ავტოსადგურების ტერიტორიის, შენობა-ნაგებობების, საწარმო და საყოფაცხოვრებო ობიექტების მიმართ უსაფრთხოების, ადამიანთა და ცხოველთა სიცოცხლისა და ჯანმრთელობის, გარემოსა და საკუთრების დაცვის მოთხოვნებს, ასევე, აღნიშნული მოთხოვნებიდან გამომდინარე, საქართველოს სახმელეთო სახელმწიფო საზღვრის მონაკვეთების სასაზღვრო გამტარ პუნქტებთან განთავსებული, ავტოსატრანსპორტო საშუალებების რიგების მართვის ელექტრონულ სისტემაში ჩართული  M2,  M3,  N2 და N3 კატეგორიის (ცალკე, ნახევარმისაბმელით ან მისაბმელით) ავტოსატრანსპორტო საშუალებების, ავტოსადგომების პარამეტრებს, ასევე ავტოსადგურების სერტიფიცირების წესსა და პირობებს.

მუხლი 2. რეგულირების სფერო და მიზანი

1. ამ წესის მოთხოვნები ვრცელდება ავტოსადგურებსა და კანონმდებლობის შესაბამისად რეგისტრირებულ ფიზიკურ და იურიდიულ პირებზე, რომლებიც ახორციელებენ საავტომობილო სამგზავრო გადაყვანის (მუნიციპალიტეტის ადმინისტრაციულ საზღვრებში რეგულარული სამგზავრო გადაყვანის გარდა) პროცესში მგზავრებისა და გადამზიდველების მომსახურებას ავტოსადგურებში, ასევე საქართველოს სახმელეთო სახელმწიფო საზღვრის მონაკვეთების სასაზღვრო გამტარ პუნქტებთან განთავსებული, ავტოსატრანსპორტო საშუალებების რიგების მართვის ელექტრონულ სისტემაში ჩართული M2, M3, N2 და N3 კატეგორიის (ცალკე, ნახევარმისაბმელით ან მისაბმელით)  ავტოსატრანსპორტო საშუალებების ავტოსადგომებზე.

2. ამ წესის მიზანია, საავტომობილო სამგზავრო გადაყვანის ორგანიზებისას, მგზავრებისა და ავტოსადგურის პერსონალის უსაფრთხოების დაცვის აუცილებელი პირობების დაკმაყოფილება, ასევე საქართველოს სახმელეთო სახელმწიფო საზღვრის მონაკვეთების სასაზღვრო გამტარ პუნქტებთან განთავსებული, ავტოსატრანსპორტო საშუალებების რიგების მართვის ელექტრონულ სისტემაში ჩართული M2, M3,  N2 და N3 კატეგორიის (ცალკე, ნახევარმისაბმელით ან მისაბმელით)  ავტოსატრანსპორტო საშუალებების ავტოსადგომებზე უსაფრთხოების უზრუნველყოფა, კერძოდ:

ა) მგზავრთა სიცოცხლის, ჯანმრთელობისა და საკუთრების დაცვა, საგზაო-სატრანსპორტო შემთხვევების, ადამიანისა და გარემოსათვის მიყენებული ზიანის მინიმიზაცია;

ბ) ავტობუსის/მინივენის კონსტრუქციის შესაბამისობა მომსახურების სახეობასთან;

გ) ავტობუსის/მინივენის გამგზავრება წინასწარ დადგენილი განრიგით;

დ) საგზაო ტრანსპორტის უსაფრთხოების სფეროში საქართველოს კანონმდებლობის ჰარმონიზაცია საერთაშორისო კანონმდებლობასთან.“;

ბ)  მე-3 მუხლის პირველი პუნქტის:

ბ.ა) „ა“ და „ბ“ ქვეპუნქტები ჩამოყალიბდეს შემდეგი რედაქციით:

„ა) ავტობუსი − ავტოსატრანსპორტო საშუალება, რომელიც განკუთვნილია მგზავრთა გადასაყვანად და რომლის დასასხდომი ადგილების რაოდენობა, გარდა მძღოლის ადგილისა, 8-ს აღემატება;

ბ) ავტოსადგური – მგზავრთა და გადამზიდველთა მომსახურების მიზნით, საქართველოს კანონმდებლობის შესაბამისად მოწყობილი ადგილი, სადაც შესაძლებელია, საქართველოს კანონმდებლობით დადგენილი წესით, განხორციელდეს საერთაშორისო რეგულარულ სამგზავრო გადაყვანასთან, საერთაშორისო არარეგულარულ სამგზავრო გადაყვანასთან, ქვეყნის შიდა რეგულარულ სამგზავრო გადაყვანასთან ან/და მუნიციპალიტეტის ადმინისტრაციულ საზღვრებში რეგულარულ სამგზავრო გადაყვანასთან დაკავშირებული სათანადო მომსახურება;“;

ბ.ბ) „დ“ ქვეპუნქტის შემდეგ დაემატოს შემდეგი შინაარსის „დ1“ და „დ2“ ქვეპუნქტები:

„დ1) ავტოსადგურის სერტიფიკატი (შემდგომში – სერტიფიკატი) – დოკუმენტი, რომლითაც დასტურდება ავტოსადგურის შესაძლებლობა, დადგენილი წესით განახორციელოს ავტოსადგურში მინივენების, ავტობუსებისა და მგზავრთა მიღება, მოძრაობა, მომსახურება და გამგზავრება შესაბამისი კლასის ავტოსადგურისათვის დაწესებული სასერტიფიკაციო პირობებისა და შეზღუდვების შესაბამისად;

2) საავტომობილო სამგზავრო გადაყვანა − საერთაშორისო რეგულარული სამგზავრო გადაყვანა, საერთაშორისო არარეგულარული სამგზავრო გადაყვანა, ქვეყნის შიდა რეგულარული სამგზავრო გადაყვანა;“;

ბ.გ) „ე“ − „თ“ ქვეპუნქტები ჩამოყალიბდეს შემდეგი რედაქციით:

„ე) ბაქანი – ავტოსადგურის ტერიტორიის ნაწილი, სადაც ხორციელდება მგზავრების ავტობუსში/მინივენში ჩასხდომა და ავტობუსიდან/მინივენიდან გადმოსხმა;

ვ) მარშრუტი – პუნქტებს შორის ავტობუსების/მინივენების მიმოსვლისათვის წინასწარ დადგენილი გზასავალი;

ზ) მგზავრთა ჩასხდომის (გადმოსხმის) პოსტი – ერთი ავტობუსის/მინივენის დგომისათვის განკუთვნილი ბაქნის ნაწილი;

თ) მგზავრი – ფიზიკური პირი, რომელიც მგზავრობს ავტობუსით/მინივენით, გადაზიდვა-გადაყვანის ხელშეკრულების საფუძველზე;“;

ბ.დ)  „ლ“ ქვეპუნქტი ჩამოყალიბდეს შემდეგი რედაქციით:

„ლ) ქვეყნის შიდა რეგულარული სამგზავრო გადაყვანა – საქართველოს ტერიტორიაზე რეგულარული სამგზავრო გადაყვანა, გარდა მუნიციპალიტეტის ადმინისტრაციულ საზღვრებში რეგულარული სამგზავრო გადაყვანისა;“;

გ) მე-4 მუხლი ჩამოყალიბდეს შემდეგი რედაქციით:

მუხლი 4. ავტოსადგურების კლასიფიკაცია და მოწყობა

1. მგზავრებისა და გადამზიდველების მომსახურების მიხედვით ავტოსადგურები იყოფა პირველი კლასის, მე-2 კლასისა და მე-3 კლასის ავტოსადგურებად. ამასთანავე:

ა) პირველი კლასის ავტოსადგურიდან შეიძლება განხორციელდეს საერთაშორისო რეგულარული სამგზავრო გადაყვანა ან/და საერთაშორისო არარეგულარული სამგზავრო გადაყვანა, ქვეყნის შიდა რეგულარული სამგზავრო გადაყვანა და მუნიციპალიტეტის ადმინისტრაციულ საზღვრებში რეგულარული სამგზავრო გადაყვანა;

ბ) მე-2 კლასის ავტოსადგურიდან შეიძლება განხორციელდეს ქვეყნის შიდა რეგულარული სამგზავრო გადაყვანა და მუნიციპალიტეტის ადმინისტრაციულ საზღვრებში რეგულარული სამგზავრო გადაყვანა. მე-2 კლასის ავტოსადგურიდან შეიძლება განხორციელდეს აგრეთვე საერთაშორისო რეგულარული სამგზავრო გადაყვანა ან/და საერთაშორისო არარეგულარული სამგზავრო გადაყვანა, მხოლოდ იმ შემთხვევაში, თუ შესაბამის დასახლებაში (ქალაქი, სოფელი, დაბა):

ბ.ა) პირველი კლასის ავტოსადგური არ ფუნქციონირებს;

ბ.ბ) არსებული პირველი კლასის ავტოსადგურის სიმძლავრე სათანადო მოთხოვნის დასაკმაყოფილებლად საკმარისი არ არის, რაზედაც მე-2 კლასის ავტოსადგურს აქვს საქართველოს ეკონომიკისა და მდგრადი განვითარების სამინისტროს სისტემაში შემავალი საჯარო სამართლის იურიდიული პირის – სახმელეთო ტრანსპორტის სააგენტოს (შემდგომში – სახმელეთო ტრანსპორტის სააგენტო) შესაბამისი დასტური;

გ) მე-3 კლასის ავტოსადგურიდან შეიძლება განხორციელდეს მუნიციპალიტეტის ადმინისტრაციულ საზღვრებში რეგულარული სამგზავრო გადაყვანა. მე-3 კლასის ავტოსადგურიდან შეიძლება განხორციელდეს აგრეთვე საერთაშორისო რეგულარული სამგზავრო გადაყვანა ან/და საერთაშორისო არარეგულარული სამგზავრო გადაყვანა ან/და ქვეყნის შიდა რეგულარული სამგზავრო გადაყვანა, მხოლოდ იმ შემთხვევაში, თუ შესაბამის დასახლებაში (ქალაქი, სოფელი, დაბა):

გ.ა) პირველი კლასის ავტოსადგური ან/და მე-2 კლასის ავტოსადგური არ ფუნქციონირებს;

გ.ბ) არსებული პირველი კლასის ავტოსადგურისა და მე-2 კლასის ავტოსადგურის სიმძლავრე სათანადო მოთხოვნის დასაკმაყოფილებლად საკმარისი არ არის, რაზედაც მე-3 კლასის ავტოსადგურს აქვს სახმელეთო ტრანსპორტის სააგენტოს შესაბამისი დასტური.

2. პირველი და მეორე კლასის ავტოსადგურს უნდა გააჩნდეს:

ა) საბილეთო სალარო;

ბ) მგზავრების მოსაცდელი დარბაზი;

გ) სანიტარიულ-ჰიგიენური ბლოკი;

დ) მძღოლების დასასვენებელი ოთახი;

ე) ბაქანი (ბაქნები);

ვ) სადისპეტჩერო;

ზ) რეისებს შორის ავტობუსების/მინივენების სადგომი მოედანი;

თ) საინფორმაციო სამსახური;

ი) ელექტროენერგიის ავტონომიური წყარო;

კ) მარშრუტზე მიმოსვლის ელექტრონული საინფორმაციო ტაბლო;

ლ) ავტოსადგურის მთელი ტერიტორიის ვიდეომეთვალყურეობის სისტემა, სადაც ვიდეოჩანაწერის შენახვა უნდა განხორციელდეს არანაკლებ 5 დღის განმავლობაში.

3. ამ მუხლის მე-2 პუნქტით განსაზღვრული მოთხოვნების გარდა, პირველი კლასის ავტოსადგურს უნდა გააჩნდეს ავტობუსების წინასარეისო მომსახურების პოსტი, ადმინისტრაციული დანიშნულების ოთახი, სამედიცინო პუნქტი პირველადი დახმარების გაწევისათვის, დედათა და ბავშვთა ოთახი.

4. მესამე კლასის ავტოსადგურს უნდა გააჩნდეს:

ა) საბილეთო სალარო;

ბ) არანაკლებ 15 მ ფართის გადახურული მოსაცდელი არანაკლებ 5 დასაჯდომი ადგილით;

გ) ბაქანი;

დ) რეისებს შორის ავტობუსების/მინივენების სადგომი მოედანი;

ე) საპირფარეშო (ავტოსადგურის ტერიტორიაზე).

5. პირველი კლასის ავტოსადგური წარმოადგენს საერთაშორისო და ქვეყნის შიდა  რეგულარული სამგზავრო გადაყვანისას მარშრუტის საწყის, ბოლო და შუალედურ მომსახურების პუნქტს. მეორე და მესამე კლასის ავტოსადგურები წარმოადგენენ საერთაშორისო და ქვეყნის შიდა  რეგულარული სამგზავრო გადაყვანისას მარშრუტის საწყის, ბოლო და შუალედურ მომსახურების პუნქტს ამ მუხლის პირველი პუნქტის „ბ.ბ“ და „გ.ბ“ ქვეპუნქტებით გათვალისწინებულ შემთხვევებში. ავტომაგისტრალზე შუალედური გაჩერების პუნქტს განსაზღვრავს სახმელეთო ტრანსპორტის სააგენტო, საქართველოს კანონმდებლობით დადგენილი წესით. იმ დასახლებაში, სადაც არ არის ავტოსადგური, ქვეყნის შიდა სამგზავრო რეგულარული გადაყვანის შუალედურ გაჩერების პუნქტად გადამზიდველს უფლება აქვს, გამოიყენოს განრიგით გათვალისწინებული პუნქტი.

6. ამ მუხლის პირველი პუნქტის „ბ.ბ“ და „გ.ბ“ ქვეპუნქტებით გათვალისწინებული დასტურის გაცემის ან გაცემაზე უარის თქმის შესახებ გადაწყვეტილება მიიღება განცხადების წარდგენიდან 30 დღის განმავლობაში. მაღალი კლასის ავტოსადგურში შესაბამისი სიმძლავრის გაჩენის შემთხვევაში, სახმელეთო ტრანსპორტის სააგენტოს მიერ გაცემული დასტური უქმდება, რის შესახებაც სახმელეთო ტრანსპორტის სააგენტო აცნობებს შესაბამის ავტოსადგურებს.

 7. ავტოსადგური უნდა იყოს ამ ტექნიკური რეგლამენტის შესაბამისად მოწყობილი შენობა-ნაგებობის, ტერიტორიისა და ტექნოლოგიური აღჭურვილობის ერთიანი კომპლექსი.

8. პირველი კლასის ავტოსადგურში მოსაცდელი დარბაზიდან ავტობუსში ჩასასხდომად მგზავრის გადაადგილება უნდა ხდებოდეს გადახურული კონსტრუქციის ქვეშ.

9. ავტოსადგურს ფასადის მხრიდან უნდა გააჩნდეს შესაბამისი წარწერა − «ავტოსადგური» და მისი საფირმო დასახელება ქართულ და ასევე შესაძლებელია, სხვა ენაზეც.

10. პირველი კლასის ავტოსადგურებში მოსაცდელი დარბაზი, დედათა და ბავშვთა ოთახი, საბილეთო სალაროები, ცნობათა ბიურო და საპირფარეშო განთავსებული უნდა იყოს შენობის ერთ კომპლექსში.

11. ავტოსადგურის მთელ ტერიტორიაზე უზრუნველყოფილი უნდა იყოს სადღეღამისო განათება.

12. ავტოსადგურის ტერიტორიის სავალი ნაწილი დაფარული უნდა იყოს ასფალტით, ბეტონით ან სხვა, სამშენებლო ნორმებით დადგენილი მყარი საფარით.

13. საერთაშორისო და ქვეყნის შიდა რეგულარული სამგზავრო გადაყვანა ავტოსადგურებს შორის უნდა განხორციელდეს. გამონაკლისი შემთხვევები გათვალისწინებულია საქართველოს კანონმდებლობით.

14. სამივე კლასის ავტოსადგურში მგზავრებისათვის არსებული ყველა სახის მომსახურება ხელმისაწვდომი უნდა იყოს შეზღუდული შესაძლებლობის მქონე პირთათვის.“;

დ) მე-5 მუხლის პირველი პუნქტი ჩამოყალიბდეს შემდეგი რედაქციით:

„1. პირველი და მეორე კლასის ავტოსადგურებში, მოსაცდელ დარბაზში, შესაბამისი ელექტრონული ტაბლოს გამოყენებით, მგზავრებს უნდა მიეწოდებოდეს ვიზუალური ინფორმაცია ავტობუსების/მინივენების ბაქანზე ჩამოდგომის, მარშრუტებზე ავტობუსების/მინივენების მიმოსვლის, განრიგებში ცვლილებების, მგზავრობასთან დაკავშირებული და მომსახურების დამატებითი პირობების შესახებ. ბაქანზე ჩამოდგომის, მარშრუტებზე ავტობუსების/მინივენების მიმოსვლისა და განრიგებში ცვლილებასთან დაკავშირებული ინფორმაცია მგზავრებს უნდა მიეწოდებოდეთ ასევე ხმოვანი სახით.“;

ე)  მე-6 მუხლის მე-3 პუნქტი ჩამოყალიბდეს შემდეგი რედაქციით:

„3. ავტოსადგურისათვის დადგენილი საბილეთო სალაროებისა და ბილეთების ავტომატების მინიმალური რაოდენობა, განსაზღვრული ავტოსადგურის სიმძლავრის მიხედვით, მოცემულია ამ წესის №1 დანართში.“;

ვ) მე-7 მუხლის პირველი პუნქტი ჩამოყალიბდეს შემდეგი რედაქციით:

„1. პირველი და მეორე კლასის ავტოსადგურებში საინფორმაციო სამსახურის მიერ მგზავრებსა და გადამზიდველებს ხმოვანი და შესაბამისი ელექტრონული ტაბლოს გამოყენებით ვიზუალური სახით მიეწოდებათ მგზავრობის პროცესთან დაკავშირებული შემდეგი ინფორმაცია:

ა) მგზავრთა ავტობუსში/მინივენში ჩასხდომის დაწყებისა და ავტობუსის/მინივენის გასვლის დროის თაობაზე;

ბ) რეისიდან ავტოსადგურში შესული ავტობუსის/მინივენის შესახებ;

გ) რეისის გადადების ან/და დამატებითი რეისის დანიშვნის შესახებ;

დ) მოძრაობის არსებულ განრიგებში ცვლილებების შეტანის შესახებ;

ე) ავტობუსის/მინივენის გასვლისა და შესვლის დაგვიანების შესახებ;

ვ) რეისში გამსვლელი ავტობუსების/მინივენების ტიპი;

ზ) ავტოსადგურის მუშაობის რეჟიმი.“;

ზ)  მე-8 მუხლი ამოღებულ იქნეს;

თ)  მე-9 მუხლი ჩამოყალიბდეს შემდეგი რედაქციით:

მუხლი 9. მძღოლების დასასვენებელი ოთახი

მძღოლების დასასვენებელი ოთახის ფართობი განისაზღვრება იმ პირობით, რომ უზრუნველყოფილი იყოს ერთდროული დასვენება რეისში გასავლელი მძღოლების არანაკლებ 50%-ისა, ავტობუსების/მინივენების მოძრაობის სადღეღამისო განრიგიდან ყველაზე გადატვირთულ (ავტობუსების/მინივენების მოძრაობის ინტენსივობით) ერთ საათზე გაანგარიშებით. დასასვენებელ ოთახში ერთ მძღოლთან დაკავშირებული ფართი არ უნდა იყოს 2 მ2-ზე ნაკლები.“;

ი)  მე-11 მუხლი ჩამოყალიბდეს შემდეგი რედაქციით:

მუხლი 11. სადისპეტჩერო

1. სადისპეტჩერომ უნდა უზრუნველყოს:

ა) ავტოსადგურში ავტობუსების/მინივენების მოძრაობის რეგულირება;

ბ) კავშირი გადამზიდველებთან, მარშრუტებზე გადაზიდვების რეგულირების მიზნით;

გ) ავტოსადგურში მოძრაობის განრიგების დაცვაზე ზედამხედველობა და საგზაო-სატრანსპორტო დოკუმენტაციის გაფორმება, დადგენილი წესით;

დ) ინფორმაციის მიწოდება საბილეთო სალაროების მუშაკებისათვის ავტობუსების/მინივენების ბაქანზე ჩამოდგომისა და მოძრაობის განრიგში ცვლილების შეტანის შესახებ;

ე) დაინტერესებულ პირთა ინფორმირება, მოძრაობის განრიგებში ცვლილებების შეტანის, ავტობუსების/მინივენების გასვლის, დამატებითი რეისების შემოღების ან გაუქმების შესახებ;

ვ) ავტობუსების/მინივენების ტექნიკური გაუმართაობის ან სხვა გარემოებების შემთხვევაში, გადამზიდველთან დაკავშირება და მასთან ერთად, რეისის ჩაშლის თავიდან აცილების მიზნით, სათანადო ზომების მიღება.

2. სადისპეტჩერო ვალდებულია, განრიგების დარღვევის შესახებ გადამზიდველის მხრიდან შეტყობინების მიღებისას დაუყოვნებლივ უზრუნველყოს მგზავრებისათვის შეფერხებისა და ავტობუსის/მინივენის განახლებული მოძრაობის დროის შესახებ ინფორმაციის მიწოდება.“;

კ) მე-11 მუხლის შემდეგ დაემატოს შემდეგი შინაარსის 111 − 113 მუხლები:

მუხლი 111.  სანიტარიულ-ჰიგიენური ბლოკი

1. ავტოსადგურში მგზავრებისათვის უზრუნველყოფილი უნდა იყოს საპირფარეშოთი მომსახურება მთელი სამუშაო დღის განმავლობაში.

2. სანიტარიულ-ჰიგიენურ ბლოკში საპირფარეშოს კაბინების მინიმალური რაოდენობა, კაბინის გაბარიტები და ვენტილაციის პირობები უნდა შეესაბამებოდეს მოქმედ სანიტარიულ ნორმებს.

3. საპირფარეშოში უნდა იყოს წყლის ნიჟარა.

4. საპირფარეშოთი სარგებლობისათვის მომსახურების ფორმას აწესებს ავტოსადგურის ადმინისტრაცია.

მუხლი 112. ავტობუსების/მინივენების სადგომი მოედანი

1. ავტობუსების/მინივენების სადგომი მოედნის დანიშნულებაა, უზრუნველყოს რეისის მოლოდინში მყოფი ავტობუსების/მინივენების ავტოსადგურის ტერიტორიაზე განთავსება და დგომა.

2. სადგომ მოედანზე შესაძლებელი უნდა იყოს ავტობუსის/მინივენის თავისუფალი მანევრირება.

3. სადგომ მოედანზე ერთი ავტობუსის/მინივენის სადგომის გაბარიტები უნდა იყოს არანაკლებ:

ა) სიგრძე 15 მ-ისა;

ბ) სიგანე 3,2 მ-ისა.

4. სადგომი მოედანი უნდა იყოს მყარი (ასფალტის ან ბეტონის) საფარის მქონე.

მუხლი 113. ავტობუსის წინასარეისო მომსახურების პოსტი

1. ავტოსადგურში ავტობუსის წინასარეისო მომსახურების პოსტი ეწყობა რეისებს შორის ავტობუსის დასუფთავების, გარეცხვისა და მოძრაობის უსაფრთხოებასთან დაკავშირებული სხვა აუცილებელი ღონისძიების ჩატარების უზრუნველყოფის მიზნით.

2. წინასარეისო მომსახურების პოსტი განთავსებული უნდა იყოს ავტოსადგურის ტერიტორიაზე და იზოლირებული უნდა იყოს სხვა ობიექტებიდან.“;

ლ)  მე-12 მუხლი ჩამოყალიბდეს შემდეგი რედაქციით:

მუხლი 12. ბაქანი

1. ბაქნის დანიშნულებაა უზრუნველყოს ავტოსადგურის ტერიტორიაზე მგზავრების ავტობუსში/მინივენში უსაფრთხო და მოხერხებული ჩასხდომა/გადმოსხმა და ავტობუსების/მინივენების თავისუფალი მანევრირება.

2. ბაქანთან ავტობუსის/მინივენის მისვლა უნდა განხორციელდეს წინა სვლით.

3. პირველი და მეორე კლასის ავტოსადგურებში ბაქანი და მასზე განლაგებული მგზავრთა ჩასხდომის/გადმოსხმის პოსტები უნდა იყოს დანომრილი.

4. პირველი და მეორე კლასის ავტოსადგურებში ბაქანი უნდა იყოს აღჭურვილი:

ა) განათებით, ღამის საათებში მგზავრების ჩასხდომისა/გადმოსხმისა და ბარგის ჩაბარების/მიღების უზრუნველსაყოფად;

ბ) ჩასასხდომი (გადმოსასხდომი) მოედნებისა და გზის სავალი ნაწილის მონიშვნით;

გ) სკამებით (სავალდებულოა მხოლოდ პირველი კლასის ავტოსადგურისათვის).

5. პირველი და მეორე კლასის ავტოსადგურებში ბაქანი გზის სავალი ნაწილიდან ამაღლებული უნდა იყოს არანაკლებ 15 სმ-ით.

6. ბაქნის განლაგების სქემები და ზომები მოცემულია ამ წესის №3, №4 და № 5 დანართებში.

7. მგზავრების ჩასასხდომად ავტობუსის/მინივენის ბაქანზე ჩამოდგომა ხდება მოძრაობის განრიგით განსაზღვრული დროის შესაბამისად, გასვლამდე არანაკლებ 20 წუთით ადრე.

8. ავტოსადგურის ადმინისტრაცია ვალდებულია:

ა) უზრუნველყოს ავტობუსის/მინივენის გასვლა ავტოსადგურიდან განრიგის შესაბამისად. ავტოსადგურიდან გასვლისას ავტობუსში/მინივენში მგზავრების რაოდენობა არ უნდა აღემატებოდეს ავტოსატრანსპორტო საშუალების მწარმოებლის მიერ და საქართველოს კანონმდებლობით დადგენილ ნორმებს;

ბ) არ დაუშვას ბაქანთან დაუსუფთავებელი და ანტისანიტარიულ მდგომარეობაში მყოფი ავტობუსი/მინივენი.

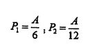
9. ავტობუსში/მინივენში მგზავრების ჩასხდომისა და გადმოსხმის პოსტების მინიმალური რაოდენობა გამოიანგარიშება ავტობუსების/ მინივენების მოძრაობის სადღეღამისო განრიგიდან ყველაზე გადატვირთულ (ავტობუსების/მინივენების მოძრაობის ინტენსივობით) ერთ საათში ავტოსადგურიდან რეისში გასასვლელი და ავტოსადგურში რეისიდან შესასვლელი ავტობუსების/მინივენების ჯამური რაოდენობის მიხედვით, შემდეგი ფორმულებით:

სადაც P1 – ჩასხდომის პოსტების მინიმალური რაოდენობა;  

P2  – გადმოსხმის პოსტების მინიმალური რაოდენობა;

A – ავტობუსების/მინივენების მოძრაობის სადღეღამისო განრიგიდან ყველაზე გადატვირთულ (ავტობუსების/მინივენების მოძრაობის ინტენსივობით) ერთ საათში ავტოსადგურიდან რეისში გასასვლელი და ავტოსადგურში რეისიდან შემოსასვლელი ავტობუსების/მინივენების ჯამური რაოდენობა.

10. ამ მუხლის მე-9 პუნქტში მოყვანილი ფორმულებით გაანგარიშებული მგზავრების ჩასხდომისა და გადმოსხმის პოსტების მინიმალური რაოდენობები მოყვანილია №2 დანართში.   

11. ავტოსადგური ვალდებულია, შეზღუდოს ბაქანზე იმ ავტომობილების გადაადგილება, რომლებიც არ არიან ჩართულნი საავტომობილო სამგზავრო გადაყვანაში.

12. სამივე კლასის ავტოსადგურში ბაქანი უნდა იყოს გადახურული.“;

მ)  მე-12  მუხლის შემდეგ დაემატოს შემდეგი შინაარსის 121 – 129 მუხლები:

მუხლი 121. ავტოსადგურების სერტიფიცირება

1. ავტოსადგურების სერტიფიცირების მიზანია საქართველოს ტერიტორიაზე მოქმედი ავტოსადგურების ტექნიკური და ტექნოლოგიური მახასიათებლების, კლასის, ასევე მათი საქმიანობის ამ ტექნიკური რეგლამენტით გათვალისწინებულ მოთხოვნებთან შესაბამისობის დადგენა.

2. ავტოსადგური ექვემდებარება სერტიფიცირებას, თუ ავტოსადგური თავისი სამშენებლო, ტექნიკური და ტექნოლოგიური პარამეტრებით, ასევე მგზავრთა და გადამზიდავთა მომსახურების პირობებით აკმაყოფილებს ამ ტექნიკური რეგლამენტით დადგენილ მოთხოვნებს.

3. დაუშვებელია, ავტოსადგურის ექსპლუატაცია საავტომობილო სამგზავრო გადაყვანის მომსახურების მიზნებისათვის, თუ ავტოსადგური არ ფლობს ამ ტექნიკური რეგლამენტით გათვალისწინებულ სერტიფიკატს.

4. ავტოსადგურის  სერტიფიკატის გაცემას, გაცემაზე უარის თქმას, სერტიფიკატის მოქმედების შეჩერებას/აღდგენას, სერტიფიკატის გაუქმებას, სერტიფიკატში ცვლილების შეტანას, ავტოსადგურის საქმიანობაზე ზედამხედველობასა და კონტროლს, ამ წესითა და საქართველოს კანონმდებლობის შესაბამისად, ახორციელებს სახმელეთო ტრანსპორტის სააგენტო.

5. ავტოსადგურის  სერტიფიკატის ფორმას ამტკიცებს სახმელეთო ტრანსპორტის სააგენტოს დირექტორი.

6. ავტოსადგურში სერტიფიკატი უნდა განთავსდეს თვალსაჩინო ადგილას.

მუხლი 122. განცხადება და თანდართული საბუთები

1. დაინტერესებული პირი სახმელეთო ტრანსპორტის სააგენტოს განსახილველად წარუდგენს სერტიფიკატის მაძიებლის განცხადებას (შემდგომში – განცხადება), რომელსაც თან უნდა ერთვოდეს:

ა) მეწარმეთა და არასამეწარმეო (არაკომერციულ) იურიდიულ პირთა რეესტრიდან ამონაწერი – იურიდიული პირისათვის ან ინდივიდუალური მეწარმისათვის, სადამფუძნებლო დოკუმენტების დამოწმებული ასლი – საჯარო სამართლის იურიდიული პირისათვის;

ბ) წარმომადგენლის არსებობის შემთხვევაში − წარმომადგენლობის დამადასტურებელი დოკუმენტი. ფიზიკური პირის წარმომადგენლობის დამადასტურებელი დოკუმენტი დამოწმებულ უნდა იქნეს სანოტარო წესით; 

გ) სსიპ − ლევან სამხარაულის სახელობის სასამართლო ექსპერტიზის ეროვნული ბიუროს ან საქართველოს კანონმდებლობის შესაბამისად შესაბამის სფეროში აკრედიტებული ორგანოს მიერ სერტიფიცირებული უძრავი ქონების შეფასების უფლებამოსილების მქონე პირის მიერ გაცემული დასკვნა, რომლითაც დასტურდება ავტოსადგურის შესაბამისობა ამ წესით დადგენილ მოთხოვნებთან;

დ) შესაბამისი მუნიციპალიტეტის თანხმობის დამადასტურებელი დოკუმენტი, მის ტერიტორიაზე ავტოსადგურის განთავსების მიზანშეწონილობის თაობაზე;

ე) სახმელეთო ტრანსპორტის სააგენტოს მომსახურების საფასურის გადახდის დამადასტურებელი დოკუმენტი.

2. სახმელეთო ტრანსპორტის სააგენტოს მიერ ავტოსადგურის სერტიფიკატის გაცემის ან გაცემაზე უარის თქმის შესახებ გადაწყვეტილება მიიღება განცხადების წარდგენიდან 60 (სამოცი) კალენდარული დღის ვადაში. სახმელეთო ტრანსპორტის სააგენტო ამოწმებს განცხადებისა და თანდართული საბუთების ამ წესისა და მოქმედი კანონმდებლობით დადგენილ მოთხოვნებთან შესაბამისობას. ხარვეზის აღმოჩენის შემთხვევაში, სახმელეთო ტრანსპორტის სააგენტო განმცხადებელს მიუთითებს კონკრეტულ ხარვეზ(ებ)ზე და განსაზღვრავს ვადას (რომელიც არ შეიძლება, იყოს 5 (ხუთი) სამუშაო დღეზე ნაკლები), რომლის განმავლობაშიც განმცხადებელმა, ხარვეზის განცხადებასთან ერთად, უნდა წარადგინოს ხარვეზ(ებ)ის გამოსწორების დამადასტურებელი სათანადო დოკუმენტ(ებ)ი.

3. ამ მუხლის პირველი პუნქტის „გ“ ქვეპუნქტით გათვალისწინებულ დასკვნაში დეტალურად უნდა იყოს გაწერილი ავტოსადგურის სამშენებლო, ტექნიკური და ტექნოლოგიური პარამეტრების, მგზავრთა მომსახურების პირობების, მათი უსაფრთხოების, ასევე სხვა მონაცემებისა და მახასიათებლების შესაბამისობა ამ წესით გათვალისწინებულ მოთხოვნებთან. აღნიშნული დასკვნა უნდა შეიცავდეს ინფორმაციას ავტოსადგურის სიმძლავრისა და კლასთან შესაბამისობის შესახებ. დასკვნაში ასევე წარმოდგენილი უნდა იქნეს ინფორმაცია ავტოსადგურის ტერიტორიაზე, ავტოსადგურისგან დამოუკიდებლად მოქმედ პირებთან (სამედიცინო პუნქტი, სანიტარიულ-ჰიგიენური ბლოკი და ავტოსადგურის ფუნქციონირებასთან დაკავშირებული სხვა შესაძლო სერვისები /ობიექტები) გაფორმებული შეთანხმების შესახებ.

მუხლი 123. სერტიფიკატის გაცემა ან გაცემაზე უარის თქმა

1. სახმელეთო ტრანსპორტის სააგენტო იღებს გადაწყვეტილებას ავტოსადგურისათვის სერტიფიკატის გაცემისა და შესაბამისი კლასის მინიჭების ან გაცემაზე უარის თქმის შესახებ, რასაც წერილობით ან ელექტრონული ფორმით ატყობინებს განმცხადებელს.

2. დადებითი გადაწყვეტილების შემთხვევაში, გადაწყვეტილების მიღებიდან 5 დღის ვადაში, სახმელეთო ტრანსპორტის სააგენტო გასცემს შესაბამის სერტიფიკატს, სადაც, სხვა მონაცემებთან ერთად, მითითებული უნდა იყოს ავტოსადგურისათვის მინიჭებული კლასი.

3. ავტოსადგურისათვის სერტიფიკატის გაცემაზე უარის თქმის საფუძველია ამ წესის 122 მუხლის მე-2 პუნქტით გათვალისწინებულ ვადაში ხარვეზის გამოუსწორებლობა.

მუხლი 124. სერტიფიკატის მოქმედების ვადა

სერტიფიკატი გაიცემა 5 წლის ვადით.

მუხლი 125. სერტიფიკატის მფლობელის ვალდებულება და ახალი სერტიფიკატის გაცემის წესი

1. ავტოსადგურის სერტიფიკატის მფლობელის, მისი მონაცემებისა  და ავტოსადგურის დასახელების ცვლილების შემთხვევაში, სერტიფიკატის მფლობელი   ვალდებულია,  ცვლილების განხორციელებიდან 10 სამუშაო დღის ვადაში, განცხადებით მიმართოს სახმელეთო ტრანსპორტის სააგენტოს და  დაურთოს შესაბამისი დოკუმენტები.

2. ამ მუხლის პირველი პუნქტით გათვალისწინებულ შემთხვევაში, სახმელეთო ტრანსპორტის სააგენტო განცხადების მიღებიდან 3 სამუშაო დღის ვადაში ახორციელებს შესაბამის ცვლილებებს.  

3. ავტოსადგურის სერტიფიკატის მფლობელი უფლებამოსილია, განცხადებით მიმართოს სახმელეთო ტრანსპორტის სააგენტოს  ავტოსადგურის კლასის შეცვლის თაობაზე. განცხადებას უნდა ერთოდეს ამ წესის 122 მუხლის პირველი პუნქტით გათვალისწინებული დოკუმენტები.

4. სახმელეთო ტრანსპორტის სააგენტო განცხადებასა და თანდართულ დოკუმენტაციას იხილავს 30 დღის ვადაში და იღებს გადაწყვეტილებას კლასის შეცვლის ან შეცვლაზე უარის თქმის შესახებ.

5. სახმელეთო ტრანსპორტის სააგენტო, კლასის შეცვლის შესახებ გადაწყვეტილების მიღების შემთხვევაში, გასცემს ახალ სერტიფიკატს,  შესაბამისი კლასის მითითებით, გადაწყვეტილების მიღებიდან 3 დღის ვადაში და არეგისტრირებს მას რეესტრში.

6. სერტიფიკატის დაკარგვის ან დაზიანების შემთხვევაში, სერტიფიკატის მფლობელის მიმართვის საფუძველზე, სახმელეთო ტრანსპორტის სააგენტო 5 დღის ვადაში უზრუნველყოფს სერტიფიკატის დუბლიკატის გაცემას.

მუხლი 126. სერტიფიკატის მოქმედების ვადის შეჩერება, აღდგენა და გაუქმება

1. სახმელეთო ტრანსპორტის სააგენტო უფლებამოსილია, სერტიფიკატის მოქმედება შეაჩეროს, თუ:

ა) სერტიფიკატის მფლობელი სააგენტოს მიერ დადგენილ ვადაში არ გამოასწორებს დარღვევას;

ბ) დაწყებულია ადმინისტრაციული სამართალწარმოება, ადმინისტრაციული სამართალწარმოების დასრულებამდე;

გ) სერტიფიკატის მოქმედების ვადის შეჩერების თაობაზე განცხადებით მიმართა სერტიფიკატის მფლობელმა.

2. ამ მუხლის პირველი პუნქტის „ა“ ქვეპუნქტით გათვალისწინებულ შემთხვევაში, სახმელეთო ტრანსპორტის სააგენტო სერტიფიკატის მფლობელს განუსაზღვრავს არანაკლებ 5-დღიან ვადას შესაბამისი დარღვევის გამოსწორებისთვის. აღნიშნული ვადის გასვლის შემდგომ, სახმელეთო ტრანსპორტის სააგენტო იღებს გადაწყვეტილებას სერტიფიკატის შეჩერების თაობაზე. სერტიფიკატი შეჩერდება იმ დრომდე, ვიდრე არ გამოსწორდება დარღვევა, მაგრამ არაუმეტეს სამი თვის ვადით.

3.  სერტიფიკატის აღდგენა ხორციელდება, თუ აღმოიფხვრა მისი შეჩერების საფუძველი.

4. სერტიფიკატის მოქმედების შეჩერებასა და აღდგენასთან დაკავშირებული პროცედურები და ვადები განისაზღვრება სახმელეთო ტრანსპორტის სააგენტოს დირექტორის ინდივიდუალური ადმინისტრაციულ-სამართლებრივი აქტით.

5. სახმელეთო ტრანსპორტის სააგენტო უფლებამოსილია, გააუქმოს სერტიფიკატი შემდეგ შემთხვევებში:

ა) სერტიფიკატის შეჩერების სამთვიანი ვადის გასვლა, თუ ამ ვადის განმავლობაში არ აღმოიფხვრა დარღვევა;

ბ) სერტიფიკატის მფლობელის ლიკვიდაცია, გადახდისუუნარობა ან გარდაცვალება;

გ) სერტიფიკატის მფლობელი აღარ ახორციელებს ავტოსადგურის სერვისებთან დაკავშირებულ საქმიანობას უწყვეტად 6 თვის განმავლობაში;

დ) სერტიფიკატის მოქმედების ვადის ამოწურვა;

ე) ავტოსადგურის მფლობელის მიმართ კანონიერ ძალაში შესული  სასამართლოს გამამტყუნებელი გადაწყვეტილება;

ვ) ამ წესის 122 მუხლის პირველი პუნქტის „გ“ ქვეპუნქტით გათვალისწინებულ დასკვნაში ასახული ყალბი მონაცემები.

მუხლი 127. სერტიფიცირებული ავტოსადგურის მონაცემების გამოქვეყნება და აღრიცხვა

სახმელეთო ტრანსპორტის სააგენტოს მიერ სერტიფიცირებული ავტოსადგური, მისთვის მინიჭებული კლასის მიხედვით, რეგისტრირდება სახმელეთო ტრანსპორტის სააგენტოს სათანადო რეესტრში, სადაც აღნიშნულია ავტოსადგურის დასახელება (მათ შორის, სერტიფიკატის მფლობელის), მისამართი და შესაბამისი კლასი. რეესტრში რეგისტრირდება ასევე ავტოსადგურის სერტიფიკატთან დაკავშირებული ნებისმიერი ცვლილება. აღნიშნული რეესტრის მონაცემები ქვეყნდება სახმელეთო ტრანსპორტის სააგენტოს ოფიციალურ ვებგვერდზე.

მუხლი 128. ზედამხედველობა და კონტროლი

1. ავტოსადგურის საქმიანობაზე ზედამხედველობას, კანონმდებლობით დადგენილი წესითა და ფარგლებში, სერტიფიკატის მოქმედების მთელ პერიოდში, ახორციელებს სახმელეთო ტრანსპორტის სააგენტო.

2. სახმელეთო ტრანსპორტის სააგენტოს უფლებამოსილ პირს, კომპეტენციისა და მინიჭებული უფლებამოსილების ფარგლებში, ნებისმიერ დროს შეუძლია, აწარმოოს ავტოსადგურის შენობა-ნაგებობების, ძირითადი საშუალებებისა და ავტოსადგურის საქმიანობის შემოწმება.    ყოველი ასეთი შემოწმება უნდა ემსახურებოდეს ადამიანის სიცოცხლის, ჯანმრთელობის, გარემოს, საკუთრების უფლების, სხვა ძირითადი უფლების, საზოგადოებრივი წესრიგის, სხვა საჯარო ინტერესის, კანონის ან/და საქართველოს საერთაშორისო ხელშეკრულების დაცვას ან/და შესაბამისი ავტოსადგურის/სამგზავრო გადაყვანის მომსახურების სათანადო ხარისხის უზრუნველყოფას და ამ ლეგიტიმური მიზნის (მიზნების) მისაღწევად გამოსადეგი და აუცილებელი საშუალება უნდა იყოს.

3. სახმელეთო ტრანსპორტის სააგენტო ავტოსადგურის საქმიანობის შემოწმებას ახორციელებს ობიექტური, მიუკერძოებელი და არადისკრიმინაციული მიდგომით, საკუთარი ინიციატივით ან გონივრული ეჭვის საფუძველზე, სახმელეთო ტრანსპორტის სააგენტოს დირექტორის ინდივიდუალური ადმინისტრაციულ-სამართლებრივი აქტით დადგენილი წესის შესაბამისად.

4. ავტოსადგურის ადმინისტრაცია ვალდებულია, ხელი შეუწყოს აღნიშნული შემოწმების ჩატარებას, მათ შორის, უზრუნველყოს მის საქმიანობასთან დაკავშირებული ნებისმიერი დოკუმენტის/ინფორმაციის მიწოდება.

მუხლი 129. დისკრიმინაციის ფორმები

1. ავტოსადგურს უფლება აქვს, გადამზიდველს მომსახურების საფასური დაუწესოს. გადამზიდველების მიმართ არადისკრიმინაციული მიდგომის უზრუნველსაყოფად, მომსახურების საფასური ავტოსადგურიდან გასული თითოეული რეისისთვის არ უნდა აღემატებოდეს ამ რეისთან დაკავშირებული ბილეთების რეალიზაციიდან მიღებული თანხის 20 პროცენტს.

2. დაუშვებელია ავტოსადგურის მიერ:

ა) სხვადასხვა გადამზიდველის მიმართ ერთსა და იმავე მარშრუტზე განსახორციელებელ რეისზე დადგენილ იქნეს განსხვავებული მომსახურების საფასური;

ბ) მხოლოდ ერთისა და იმავე გადამზიდველისათვის სისტემატურად დადგინდეს განრიგი მაღალი მგზავრთნაკადის პერიოდში;

გ) გადამზიდველისათვის ისეთი შეღავათის ან შეზღუდვის დაწესება, რომელიც სხვა გადამზიდველების მიმართებით ზღუდავს კონკურენციას.

3. ავტოსადგურის მიერ გადამზიდველთან გაფორმებული მომსახურების თაობაზე ხელშეკრულებით ავტოსადგურის მხრიდან მოთხოვნის უზრუნველყოფის საშუალების გამოყენების შემთხვევაში, ყოველი ასეთი პირობა თანაბრად უნდა იქნეს გამოყენებული ამ ავტოსადგურში მოქმედ ნებისმიერ გადამზიდველთან.“;

ნ)  მე-13 მუხლი ჩამოყალიბდეს შემდეგი რედაქციით:

მუხლი 13. ავტოსადგურის ვალდებულება

1. ავტოსადგურის ადმინისტრაცია ვალდებულია:

ა) უზრუნველყოს ავტოსადგურის ტერიტორიაზე და შენობებში საქართველოს კანონმდებლობით დადგენილი სანიტარიულ-ჰიგიენური, მოძრაობის, ეკოლოგიური და სახანძრო უსაფრთხოების წესების მოთხოვნების დაცვა;

ბ) გააფორმოს გადამზიდველთან მომსახურებასთან დაკავშირებული ხელშეკრულება, კანონმდებლობით დადგენილი წესითა და პირობებით, თუ ავტოსადგურში მგზავრების ჩასხდომისა და გადმოსხმის პოსტების ფაქტობრივი რაოდენობა არ არის ნაკლები ამ წესის მე-12 მუხლის მე-9 პუნქტის შესაბამისად გაანგარიშებულ პოსტების მინიმალურ რაოდენობაზე;

გ) უზრუნველყოს რეისში მხოლოდ ტექნიკურად გამართული (პერიოდული ტექნიკური ინსპექტირების დადებითი შედეგის მქონე) ავტობუსის/მინივენის გასვლა;

დ) არ დაუშვას რეისში იმ მძღოლის გაშვება, რომელსაც, სულ მცირე, წელიწადში ერთხელ არ აქვს გავლილი სავალდებულო პერიოდული სამედიცინო შემოწმება საქართველოს კანონმდებლობით დადგენილი წესით;

ე) არ დაუშვას რეისში იმ მძღოლის გაშვება, რომელსაც, სულ მცირე, 6 თვეში ერთხელ არ აქვს წარდგენილი ნასამართლობის შესახებ ცნობა და შესაბამისი დაწესებულების მიერ გაცემული ნარკოტიკული საშუალების მოხმარების შემოწმების შესახებ ცნობა, სადაც არ ფიქსირდება ნარკოტიკული საშუალების მოხმარების ფაქტი;

ვ) საავტომობილო სამგზავრო გადაყვანასთან დაკავშირებით არ მოემსახუროს იმ პირს, რომელსაც არ გააჩნია საავტომობილო სამგზავრო გადაყვანის ნებართვა;

ზ) ქალაქებს (ქ. თბილისი, ქ. ქუთაისი, ქ. ბათუმი, ქ. ზუგდიდი, ქ. თელავი) და  ასევე 150 კილომეტრზე მეტი მანძილით დაშორებულ, საქართველოში არსებულ შესაბამის დასახლებებს (ქალაქი, სოფელი, დაბა) შორის ქვეყნის შიდა რეგულარული სამგზავრო გადაყვანისას, მოემსახუროს მხოლოდ M3 კატეგორიისა და:

ზ.ა) მინიმუმ „EURO IV უსაფრთხო კატეგორიის“ ავტობუსს; ან

ზ.ბ) ავტობუსს, რომლის გამოშვების თარიღიდან გასულია არაუმეტეს 20 წლისა;

თ) სერტიფიკატის შეჩერების ან გაუქმების შემთხვევაში, არ მოემსახუროს საავტომობილო სამგზავრო გადაყვანაში ჩართულ პირებს;

ი) სახმელეთო ტრანსპორტის სააგენტოს მიაწოდოს ინფორმაცია მასთან არსებულ ყველა გადამზიდველთან შეთანხმებული განრიგების შესახებ. ასევე გადამზიდველთან შეთანხმებით განრიგებში ცვლილების შეტანისას დაუყოვნებლივ აცნობოს სახმელეთო ტრანსპორტის სააგენტოს შეცვლილი განრიგის შესახებ.

2. დაუშვებელია, ავტოსადგურის სერტიფიკატის მფლობელი ამავდროულად იყოს საავტომობილო სამგზავრო გადაყვანის ნებართვის მქონე პირი.“;

ო)  მე-15 მუხლის მე-2 პუნქტი ჩამოყალიბდეს შემდეგი რედაქციით:

„2. პირი, რომელიც ფლობს ამ მუხლის პირველი პუნქტით გათვალისწინებულ ავტოსადგომს, ამ რეგლამენტის №6 დანართით განსაზღვრულ პარამეტრებთან (გარდა ამ რეგლამენტის №6 დანართის მე-2 პუნქტით (ტერიტორიაზე და საზღვრის კვეთასთან დაკავშირებული შესვლა-გამოსვლის რიგის მარეგულირებელი სისტემა) გათვალისწინებული პირობისა) ამავე ავტოსადგომის მონაცემების შესაბამისობის დამადასტურებელ სსიპ − ლევან სამხარაულის სახელობის სასამართლო ექსპერტიზის ეროვნული ბიუროს ან საქართველოს კანონმდებლობის შესაბამისად შესაბამის სფეროში აკრედიტებული ორგანოს მიერ სერტიფიცირებული უძრავი ქონების შეფასების უფლებამოსილების მქონე პირის მიერ გაცემულ დასკვნას წარუდგენს სახმელეთო ტრანსპორტის სააგენტოს. აღნიშნული დასკვნა ასევე უნდა შეიცავდეს ინფორმაციას ავტოსადგომის ტერიტორიაზე ამ რეგლამენტის №6 დანართის შესაბამისად მოწყობილი ავტოსატრანსპორტო საშუალებების გასაჩერებელი ადგილების რაოდენობის შესახებ.“;

პ)  მე-15 მუხლის შემდეგ დაემატოს შემდეგი შინაარსის მე-16 მუხლი:

მუხლი 16. გარდამავალი დებულება

1. ამ წესით გათვალისწინებული მოთხოვნების დაკმაყოფილების მიზნით, ავტოსადგურს სერტიფიკატის მიღებისა და ამავე წესით გათვალისწინებული ინფრასტრუქტურული მოთხოვნების დაკმაყოფილების ვალდებულება წარმოეშობა 2025 წლის 1 ივნისიდან.

2. ავტოსადგურებისთვის ამ წესის მე-13 მუხლის პირველი პუნქტის „დ“ − „ვ“ და „ი“ ქვეპუნქტებით გათვალისწინებული ვალდებულება ამოქმედდეს 2025 წლის 1 მარტიდან.

3. ავტოსადგურებისათვის ამ წესის მე-13 მუხლის პირველი პუნქტის „ზ“ ქვეპუნქტით გათვალისწინებული ვალდებულება ამოქმედდეს 2025 წლის 1 ივნისიდან.

4. სახმელეთო ტრანსპორტის სააგენტომ ამ დადგენილების ამოქმედებიდან არაუგვიანეს 2 კვირის ვადაში უზრუნველყოს:

ა) ავტოსადგურის სერტიფიკატის ფორმის დამტკიცება;

ბ) ავტოსადგურის საქმიანობის შემოწმებისა და ავტოსადგურის სერტიფიკატის მოქმედების შეჩერებასა და აღდგენასთან დაკავშირებული პროცედურებისა და ვადების განსაზღვრა.“;

ჟ) დანართი №1 ჩამოყალიბდეს შემდეგი რედაქციით:

„დანართი №1

 

ავტოსადგურის

სადღეღამისო

გამტარუნარიანობა

(სიმძლავრე)

მგზ./დღ.

მოსაცდელი დარბაზის

მგზავრთტევადობა

(მგზ.)

არანაკლებ

მოსაცდელი

დარბაზის

ფართობი (კვ/)

არანაკლებ

მოსაცდელ

დარბაზში და ბაქნებზე

განთავსებული

სკამების ჯამური

რაოდენობა,

არანაკლებ

სალაროსა და ბილეთების ავტომატების ჯამური

რაოდენობა,

არანაკლებ

200-ამდე

10

15

5

1

400-ამდე

20

30

10

1

600-ამდე

40

60

15

2

1000-ამდე

60

90

20

2

2000-ამდე

80

120

25

4

3000-ამდე

120

180

35

4

4000-ამდე

160

240

50

5

6000-ამდე

200

300

60

6

8000-ამდე

240

360

75

7

10000-ამდე

320

480

100

8

15000-ამდე

400

580

125

9.“.

 

მუხლი 2
დადგენილება ამოქმედდეს გამოქვეყნებისთანავე.

პრემიერ-მინისტრიირაკლი კობახიძე