თბილისის ბანკთაშორისი საპროცენტო განაკვეთის (TIBR) ინდექსის და მასთან დაკავშირებული TIBR ვადიანი ინდექსების (TERM RATES) გაანგარიშების წესის დამტკიცების შესახებ

თბილისის ბანკთაშორისი საპროცენტო განაკვეთის (TIBR) ინდექსის და მასთან დაკავშირებული TIBR ვადიანი ინდექსების (TERM RATES) გაანგარიშების წესის დამტკიცების შესახებ
დოკუმენტის ნომერი 52/04
დოკუმენტის მიმღები საქართველოს ეროვნული ბანკის პრეზიდენტი
მიღების თარიღი 14/03/2019
დოკუმენტის ტიპი საქართველოს ეროვნული ბანკის პრეზიდენტის ბრძანება
გამოქვეყნების წყარო, თარიღი ვებგვერდი, 15/03/2019
ძალის დაკარგვის თარიღი 13/10/2021
სარეგისტრაციო კოდი 220010010.18.011.016377
კონსოლიდირებული პუბლიკაციები
52/04
14/03/2019
ვებგვერდი, 15/03/2019
220010010.18.011.016377
თბილისის ბანკთაშორისი საპროცენტო განაკვეთის (TIBR) ინდექსის და მასთან დაკავშირებული TIBR ვადიანი ინდექსების (TERM RATES) გაანგარიშების წესის დამტკიცების შესახებ
საქართველოს ეროვნული ბანკის პრეზიდენტი
ყურადღება! ვერსია, რომელსაც ამჟამად ეცნობით, არ წარმოადგენს დოკუმენტის ბოლო რედაქციას. დოკუმენტის ბოლო რედაქციის გასაცნობად აირჩიეთ შესაბამისი კონსოლიდირებული ვერსია.

პირველადი სახე (15/03/2019 - 12/10/2021)

 

საქართველოს ეროვნული ბანკის პრეზიდენტის

ბრძანება №52/04

2019 წლის 14 მარტი

ქ. თბილისი

 

თბილისის ბანკთაშორისი საპროცენტო განაკვეთის (TIBR) ინდექსის და მასთან დაკავშირებული TIBR ვადიანი ინდექსების (TERM RATES) გაანგარიშების წესის დამტკიცების შესახებ

„საქართველოს ეროვნული ბანკის შესახებ“ საქართველოს ორგანული კანონის მე-15 მუხლის „ზ“ ქვეპუნქტისა და „ნორმატიული აქტების შესახებ“ საქართველოს კანონის 25-ე მუხლის პირველი პუნქტის „ბ“ ქვეპუნქტის შესაბამისად, ვბრძანებ:

მუხლი 1
დამტკიცდეს თბილისის ბანკთაშორისი საპროცენტო განაკვეთის (TIBR) ინდექსის და მასთან დაკავშირებული TIBR ვადიანი ინდექსების (TeRm Rates) გაანგარიშების წესი.
მუხლი 2
ძალადაკარგულად გამოცხადდესთბილისის ბანკთაშორისი საპროცენტო განაკვეთის (TIBR) ინდექსის გაანგარიშების წესის დამტკიცების შესახებსაქართველო ეროვნული ბანკის პრეზიდენტის 2018 წლის 26 ივლისის №172/04 ბრძანება.
მუხლი 3
ეს ბრძანება ამოქმედდეს გამოქვეყნებისთანავე.

ეროვნული ბანკის პრეზიდენტიკობა გვენეტაძე



თბილისის ბანკთაშორისი საპროცენტო განაკვეთის (TIBR) ინდექსის და მასთან დაკავშირებული TIBR ვადიანი ინდექსების (TeRm Rates) გაანგარიშების წესი

მუხლი 1. ინდექსის აღწერა
1.  თბილისის ბანკთაშორისი საპროცენტო განაკვეთის ინდექსი (შემდგომში – TIBR ინდექსი) არის საქართველოში მოქმედ კომერციულ ბანკებს შორის (შემდგომში – ბანკთაშორისი) ეროვნული ვალუტით გაცემული ერთდღიანი არაუზრუნველყოფილი სესხების საშუალო შეწონილი საპროცენტო განაკვეთი.

2.  TIBR ვადიანი ინდექსები არის TIBR ინდექსის ისტორიულ მონაცემებზე დაყრდნობით ე.წ. ისტორიული დარიცხვის მეთოდის (Backward Looking Term Rate COMPOUNDING) გამოყენებით დათვლილი ინდექსები.

3.  ეს წესი აღწერს TIBR ინდექსის გაანგარიშებაში მონაწილე ბანკთაშორისი გარიგებების კრიტერიუმებს, ასევე TIBR ინდექსისა და TIBR ვადიანი ინდექსების გაანგარიშების, გამოქვეყნებისა და სხვა პროცედურულ საკითხებს.


მუხლი 2. TIBR ინდექსის გაანგარიშებაში მონაწილე ბანკთაშორისი გარიგებები
1. თითოეული საბანკო დღის TIBR ინდექსის გაანგარიშებაში შედის იმავე საბანკო დღეს  დადებული ისეთი ბანკთაშორისი გარიგებები, რომლებიც აკმაყოფილებენ ყველა შემდეგ კრიტერიუმებს:

ა) ბანკთაშორის გარიგებები დადებულია ერთდღიანი სესხის და/ან ერთდღიანი დეპოზიტის ფორმით;

ბ) ბანკთაშორის გარიგებები დადებულია ეროვნული ვალუტით;

გ) ბანკთაშორის გარიგებები არ არის უზრუნველყოფილი რაიმე სახის აქტივით;

დ) ბანკთაშორის გარიგებები დადებულია ბლუმბერგის სავაჭრო სისტემაში;

ე) ბანკთაშორის გარიგებები დადებულია იმავე დღის ანგარიშსწორებით;

ვ) ბანკთაშორის გარიგებები დადებულია და მისი ანგარიშსწორება გათვალისწინებულია საქართველოს ეროვნული ბანკის დროის რეალურ რეჟიმში ანგარიშსწორების (RTGS) სისტემის საოპერაციო საათების განმავლობაში, რომელიც თავის მხრივ განსაზღვრულია ამავე სისტემის წესებით.

2. TIBR ინდექსის გაანგარიშებაში არ მონაწილეობს ბანკთაშორისი ე.წ. სადეპოზიტო სვოპ გარიგებები (ორ მხარეს შორის ორი დეპოზიტის ურთიერთგაცვლა ორ ვალუტაში). სადეპოზიტო სვოპ გარიგების დაზუსტების მიზნით, საჭიროების შემთხვევაში საქართველოს ეროვნული ბანკი (შემდგომში – ეროვნული ბანკი) კომერციული ბანკის ხაზინის სამსახურიდან გამოითხოვს დამატებით ინფორმაციას.


მუხლი 3. TIBR ინდექსის გაანგარიშება
1. ყოველ საბანკო დღეს, ეროვნული ბანკი ბლუმბერგის სისტემის FXTB<GO> გვერდიდან იღებს მიმდინარე საბანკო დღის განმავლობაში დადებულ ბანკთაშორის გარიგებებს.

 2. მიღებული ბანკთაშორისი გარიგებებიდან TIBR ინდექსის გაანგარიშების მიზნისათვის მხედველობაში მიიღება მხოლოდ ამ წესის მე-2 მუხლის მოთხოვნების შესაბამისი გარიგებები.

3. TIBR ინდექსის გაანგარიშებაში მონაწილე ბანკთაშორისი გარიგებებიდან ეროვნული ბანკი ახდენს TIBR ინდექსის გაანგარიშებას შემდეგნაირად:

ა) მიმდინარე საბანკო დღეს განხორციელებული გარიგებების თანმიმდევრობა განისაზღვრება  ბანკთაშორის გარიგებაში ასახული საპროცენტო განაკვეთების ზრდის მიხედვით;

ბ) საპროცენტო განაკვეთების ზრდის მიხედვით დალაგებული ბანკთაშორისი გარიგებების საერთო რაოდენობას აკლდება ზედა 15%-ის და ქვედა 15%-ის შესაბამისი რაოდენობის ბანკთაშორისი გარიგებები, რომლებიც არ იღებენ მონაწილეობას TIBR ინდექსის გაანგარიშებაში. იმ შემთხვევაში, თუ გარიგებების საერთო რაოდენობის 15% არ არის მთლიანი ციფრი, მაშინ ხდება მიღებული რაოდენობის დამრგვალება უახლოეს მთელ მაჩვენებლამდე; 

გ) TIBR ინდექსის გაანგარიშება ხდება დარჩენილი გარიგებების საშუალო შეწონილი მაჩვენებლით;

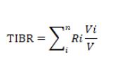
დ) საშუალო შეწონილი პროცენტი გაიანგარიშება შემდეგი ფორმულით:

სადაც:

Vi  არის დადებული გარიგების მოცულობა;

Ri არის მოცემულ გარიგებაზე დაფიქსირებულ წლიური საპროცენტო განაკვეთი;

V=∑Vi არის დღის განმავლობაში დადებული გარიგებების მთლიანი მოცულობა;

ე) გაანგარიშებული TIBR ინდექსი იქნება წლიური საპროცენტო განაკვეთი (ACT/365 კონვენციით) მძიმის შემდეგ ორი ციფრის სიზუსტით.


მუხლი 4. TIBR ვადიანი ინდექსების გაანგარიშება
1.  TIBR ვადიანი ინდექსების  გაანგარიშება ხდება ე.წ. ისტორიული დარიცხვის მეთოდის (BACKWARD LOOKING TERM RATE COMPOUNDING) გამოყენებით;

 2. TIBR ინდექსის ისტორიულ მონაცემებზე დაყრდნობით ხდება TIBR ვადიანი ინდექსების გაანგარიშება შემდეგი ფორმულით:

 

 

სადაც:

d არის კალენდარული დღეების რაოდენობა შესაბამის საპროცენტო პერიოდში;

d0  არის საბანკო დღეების რაოდენობა შესაბამის საპროცენტო პერიოდში;

i  არის მთლიანი რიცხვები ერთიდან d0-მდე რომელთაგანაც თითოეული არის შესაბამისი საბანკო დღეები ქრონოლოგიურად შესაბამისი საპროცენტო პერიოდის პირველი დღიდან და მისი ჩათვლით;

ni ნებისმიერი „i” დღისთვის ნიშნავს კალენდარული დღეების რაოდენობას ასეთი „i” დღიდან და მისი ჩათვლით შემდგომ საბანკო დღემდე.


მუხლი 5. TIBR ინდექსის და TIBR ვადიანი ინდექსების გამოქვეყნება
1.  ყოველ საბანკო დღეს, არაუგვიანეს დღის 9:00 საათისა, ეროვნული ბანკი უზრუნველყოფს:

ა) გაანგარიშებული წინა საბანკო დღის TIBR ინდექსის და ასევე  TIBR ვადიანი ინდექსების გამოქვეყნებას ბლუმბერგის სისტემაში NBGB<GO> გვერდზე, რომელიც ხელმისაწვდომია ბლუმბერგის სისტემის ტერმინალის ყველა მომხმარებლისთვის;

ბ) გაანგარიშებული წინა საბანკო დღის TIBR ინდექსის და ასევე TIBR ვადიანი ინდექსების გამოქვეყნებას ეროვნული ბანკის ვებგვერდზე.

2.  გამოქვეყნების შემდეგ TIBR ინდექსი და TIBR ვადიანი ინდექსები საბოლოოა და მასში ცვლილების შეტანა არ ხორციელდება.

3.  განსაკუთრებულ შემთხვევებში, თუ TIBR ინდექსის და TIBR ვადიანი ინდექსების გაანგარიშებაში აღმოჩნდა ისეთი შეცდომა, რომლის მიხედვით გაანგარიშებული და გამოქვეყნებული TIBR ინდექსის და TIBR ვადიანი ინდექსების ხელახლა დათვლილი მონაცემი 0,03 პროცენტული პუნქტით განსახვავდება გამოქვეყნებულ TIBR ინდექსის და TIBR ვადიანი ინდექსების მონაცემებისგან, ეროვნული ბანკი იმავე დღეს ახდენს TIBR ინდექსის და TIBR ვადიანი ინდექსების გასწორებას და ხელახლა გამოქვეყნებას. ასეთ შემთხვევაში გასწორებული TIBR ინდექსი და TIBR ვადიანი ინდექსები ქვეყნდება მხოლოდ ერთხელ, არაუგვიანეს მომდევნო საბანკო დღის 10:00 საათამდე „კორექტირებული“ სტატუსის აღნიშვნით.

4. იმ შემთხვევაში, თუ TIBR ინდექსის და TIBR ვადიანი ინდექსების გამოთვლა შეუძლებელია ტექნიკური ხარვეზის/ების არსებობის გამო, შესაძლებელია TIBR ინდექსის და TIBR  ვადიანი ინდექსების გაანგარიშება და გამოქვეყნება განხორციელდეს არაუგვიანეს მომდევნო საბანკო დღის 10:00 საათამდე.


მუხლი 6. TIBR ინდექსის გაანგარიშების სარეზერვო გეგმა
1. იმ შემთხვევაში თუ საანგარიშო დღის განმავლობაში TIBR ინდექსის გაანგარიშებაში მონაწილე გარიგებების საერთო რაოდენობა 5-ზე ნაკლებია ან/და დაშვებული გარიგებების მთლიანი მოცულობა 20 მილიონ ლარზე ნაკლებია, TIBR ინდექსის გაანგარიშებას ეროვნული ბანკი ახორციელებს სარეზერვო გეგმის მიხედვით.

2. პირველი სარეზერვო გეგმის მიხედვით, TIBR ინდექსი გაიანგარიშება ბლუმბერგის სისტემაში გამოქვეყნებული კომერციული ბანკების სესხების BID/ASK საპროცენტო განაკვეთებიდან შემდეგნაირად:

ა) მხედველობაში მიიღება კომერციული ბანკების მიერ ბლუმბერგის სისტემის GEDR1T Crncy <GO> გვერდზე იმავე დღის 17:00 საათიდან 18:00 საათამდე განახლებული ბანკთაშორის სესხების BID/ASK საპროცენტო განაკვეთები;

ბ) ყველა BID განაკვეთის თანმიმდევრობა განისაზღვრება საპროცენტო განაკვეთების ზრდის მიხედვით, რომელთაგან 2 უმცირესი და 2 უდიდესი საპროცენტო განაკვეთი არ მიიღება მხედველობაში, ხოლო დარჩენილი საპროცენტო განაკვეთებიდან გაიანგარიშება საშუალო განაკვეთი და ჩაითვლება როგორც საშუალო BID განაკვეთი;

გ) ყველა ASK განაკვეთის თანმიმდევრობა განისაზღვრება საპროცენტო განაკვეთების ზრდის მიხედვით, რომელთაგან 2 უმცირესი და 2 უდიდესი საპროცენტო განაკვეთი არ მიიღება მხედველობაში, ხოლო დარჩენილი განაკვეთებიდან გაიანგარიშება საშუალო განაკვეთი და ჩაითვლება როგორც საშუალო ASK განაკვეთი;

დ) საშუალო BID განაკვეთიდან და საშუალო ASK განაკვეთიდან გაიანგარიშება არითმეტიკული საშუალო მონაცემი, რომელიც არის საანგარიშო დღის TIBR ინდექსი და ხდება მისი გამოქვეყნდება.

3. იმ შემთხვევაში, თუ ბლუმბერგის სისტემის GEDR1T Crncy <GO> გვერდზე საანგარიშო დღის 17:00 საათიდან 18:00 საათამდე განახლებული ბანკთაშორისი სესხების BID/ASK განაკვეთების რაოდენობა იქნება 5-ზე ნაკლები, მაშინ ეროვნული ბანკი იყენებს მეორე სარეზერვო გეგმას.

4. მეორე სარეზერვო გეგმის მიხედვით, TIBR ინდექსი გაიანგარიშება, როგორც ეროვნული ბანკის მონეტარული პოლიტიკის განაკვეთს დამატებული წინა სამი საანგარიშო დღის TIBR ინდექსის მონეტარული პოლიტიკის განაკვეთთან სხვაობის საშუალო განაკვეთი.


მუხლი 7. TIBR ინდექსის აუდიტი და გაანგარიშების წესის ცვლილება
1. წელიწადში ერთხელ ეროვნულო ბანკის შიდა აუდიტის სამსახური ამოწმებს  TIBR ინდექსის და TIBR  ვადიანი ინდექსების გაანგარიშებისა და გამოქვეყნების პროცესის სისწორეს მის მიერ განსაზღვრული მეთოდოლოგიით.

2. ეროვნული ბანკი წელიწადში ერთხელ ახორციელებს TIBR ინდექსის და TIBR ვადიანი ინდექსების გაანგარიშების წესის შედარებას და ანალიზს ბაზრის არსებულ კონიუნქტურასთან.

3. თუ ეროვნული ბანკი გადაწყვეტს, რომ არსებული წესი ვეღარ აკმაყოფილებს და/ან აღარ შეესაბამება ბაზრის რეალობას და ბაზრის მოთხოვნებს, მაშინ ეროვნული ბანკი ახორციელებს არსებული წესის ცვლილებას ბანკთაშორისი ბაზრის სხვა მონაწილეებთან კონსულტაციების ჩატარების შემდგომ.