ქონების გადაცემისათვის გადასახადის გამოანგარიშებისა და გადახდის წესის შესახებ“ ინსტრუქციის თაობაზე

ქონების გადაცემისათვის გადასახადის გამოანგარიშებისა და გადახდის წესის შესახებ“ ინსტრუქციის თაობაზე
დოკუმენტის ნომერი 19
დოკუმენტის მიმღები საქართველოს ფინანსთა მინისტრი
მიღების თარიღი 29/01/1998
დოკუმენტის ტიპი საქართველოს მინისტრის ბრძანება
გამოქვეყნების წყარო, თარიღი გამოუქვეყნებელი, 0, 29/01/1998
სარეგისტრაციო კოდი 000000090.01(2).003.000172
კონსოლიდირებული პუბლიკაციები
19
29/01/1998
გამოუქვეყნებელი, 0, 29/01/1998
000000090.01(2).003.000172
ქონების გადაცემისათვის გადასახადის გამოანგარიშებისა და გადახდის წესის შესახებ“ ინსტრუქციის თაობაზე
საქართველოს ფინანსთა მინისტრი
თქვენ უყურებთ დოკუმენტის პირველად სახეს
დოკუმენტის კონსოლიდირებული ვარიანტის ნახვა ფასიანია, აუცილებელია სისტემაში შესვლა და საჭიროების შემთხვევაში დათვალიერების უფლების ყიდვა, გთხოვთ გაიაროთ რეგისტრაცია ან თუ უკვე რეგისტრირებული ხართ, გთხოვთ, შეხვიდეთ სისტემაში

პირველადი სახე (29/01/1998 - 13/07/1998)

საქართველოს ფინანსთა მინისტრის

ბრძანება №19

1998 წლის 29 იანვარი 

ქ. თბლისი

„ქონების გადაცემისათვის გადასახადის გამოანგარიშებისა და გადახდის წესის შესახებ“ ინსტრუქციის თაობაზე

საქართველოს საგადასახადო კოდექსის 227-ე მუხლის შესაბამისად ვბრძანებ: დამტკიცდეს ინსტრუქცია „ქონების გადაცემისათვის გადასახადის გამოანგარიშებისა და გადახდის წესის შესახებ“.

1. ამ ინსტრუქციის შესაბამისად გადასახადის გაანგარიშება განხორციელდეს 1998 წლის 1 იანვრიდან განხორციელებული ქონების გადაცემის მიხედვით.

 

მინისტრი                                                                                   მ. ჭკუასელი

 

ინსტრუქცია

 ქონების გადაცემისათვის გადასახადის გამოანგარიშებისა და გადახდის წესის შესახებ

ზოგადი დებულებანი

მოცემული ინსტრუქცია შემუშავებულია საქართველოს საგადასახადო კოდექსის XIV კარის 227-ე მუხლის შესაბამისად და განსაზღვრავს უძრავი ქონების გადაცემისათვის, მემკვიდრეობისა და ჩუქებისათვის და ავტოსატრანსპორტო საშუალებების გადაცემისათვის გადასახადების გამოანგარიშებისა და გადახდის წესს.

თავი 1. უძრავი ქონების გადაცემისათვის გადასახადის გამოანგარიშების და გადახდის წესი

მუხლი 1. გადასახადის გადამხდელები

უძრავი ქონების გადაცემისას გადასახადის გადამხდელები არიან უძრავი ქონების მიმღები ფიზიკური და იურიდიული პირები.

მუხლი 2. გადასახადით დაბეგვრის ობიექტი

1. უძრავი ქონების გადაცემისათვის გადასახადით დაბეგვრის ობიექტი არის დოკუმენტი, რომლის საფუძველზეც ხდება საქართველოში არსებულ უძრავ ქონებაზე საკუთრების უფლების გადაცემის დამადასტურებელი დოკუმენტის ან ასეთი ქონების იჯარით გადაცემის აქტის გაფორმება, კერძოდ:

ა. აქტი;

ბ. იჯარის ხელშეკრულება;

გ. მოიჯარისათვის ნივთის ფლობის უფლების გადაცემის დამადასტურებელი დოკუმენტი.

2. საქართველოს სამოქალაქო კოდექსის შესაბამისად უძრავ ქონებას (ნივთს) მიეკუთვნება მიწის ნაკვეთი მასში არსებული წიაღისეულით, მიწაზე აღმოცენებული მცენარეები, ასევე შენობა-ნაგებობანი, რომლებიც მყარად დგას მიწაზე.

3. დაბეგვრის ობიექტად არ ითვლება იპოთეკა ან სხვა დოკუმენტი, რომელიც წარმოშობს ვალდებულებას უძრავი ქონების მიმართ ან შეთანხმებას ამ ვალდებულების უზრუნველყოფის შესახებ.

იპოთეკა საქართველოს სამოქალაქო კოდექსის შესაბამისად ნიშნავს უძრავი ნივთის (ქონების) დაგირავებას მოთხოვნის დასაკმაყოფილებლად.

4. სამოქალაქო კოდექსის 581-ე მუხლის მიხედვით, საიჯარო ხელშეკრულების შესაბამისად, მეიჯარე მოვალეა განსაზღვრული ქონება გადასცეს მოიჯარეს დროებით სარგებლობაში  და საიჯარო დროის განმავლობაში უზრუნველყოს ნაყოფის მიღების შესაძლებლობა, თუ იგი მიღებულია მეურნეობის სწორი გაძღოლის შედეგად შემოსავლის სახით, ხოლო სამოქალაქო კოდექსის 154-ე მუხლის შესაბამისად ნივთის (ქონების) ნაყოფი არის ის შემოსავალი, ნამატი ან/და უპირატესობა, რომელსაც ეს ნივთი (ქონება) იძლევა.

5. ამ მუხლის მე-4 პუნქტის დებულებათა შესაბამისად საიჯარო ხელშეკრულებით ხდება ქონების გადაცემა ეკონომიკურ საქმიანობაში გამოსაყენებლად შემოსავლის მიღების მიზნით, განსხვავებით ქირავნობის ხელშეკრულებისა, რომელიც გულისხმობს ქონების გადაცემას დამქირავებლის სარგებლობაში განსაზღვრული ვადით, მაგრამ იგი არ გულისხმობს ამ ქონების გამოყენებას ეკონომიკურ საქმიანობაში შემოსავლის მიღების მიზნით.

6. იმ შემთხვევაში, თუ გამქირავებელსა და დამქირავებელს  შორის დადებული ქირავნობის ხელშეკრულებით დამქირავებლისათვის გადაცემული ქონება მის მიერ გამოიყენება ეკონომიკურ საქმიანობაში, მაშინ ასეთი ხელშეკრულება სამოქალაქო კოდექსის შესაბამისად განხილულ უნდა იქნეს საიჯარო ხელშეკრულებად და ამ მუხლის პირველი ნაწილის მიხედვით წარმოადგენს გადასახადით დაბეგვრის ობიექტს.

მუხლი 3. საგადასახადო შეღავათები და საიჯარო ხელშეკრულებების ვადის განსაზღვრის წესი

1. დაბეგვრისაგან თავისუფლდება უძრავი ქონების:

ა. იჯარის ხელშეკრულება 3 წელზე ნაკლები ვადით;

ბ. გადაცემა მეუღლისათვის, მშობლისა ან შვილისათვის;

გ. გადაცემა განქორწინების საფუძველზე;

დ. უსასყიდლოდ გადაცემა სახელმწიფოსათვის, საბიუჯეტო, საქველმოქმედო ან რელიგიური ორგანიზაციებისათვის;

ე. გადაცემა რეორგანიზაციის შემთხვევაში.

2. თუ უძრავი ქონების იჯარისას არ არის განსაზღვრული იჯარის ვადა და იგი წერილობით არ მოიშალა საიჯარო წლის დამთავრებიდან არაუგვიანეს ერთი თვისა, მაშინ იგულისხმება, რომ საიჯარო ხელშეკრულება დადებულია განუსაზღვრელი ვადით.

3. მიწის ნაკვეთის იჯარა ერთ წელზე მეტი ვადით უნდა გაფორმდეს წერილობით. ამ ფორმის დაუცველობის შემთხვევაში იგულისხმება, რომ ხელშეკრულება განუსაზღვრელი ვადით არის დადებული.

თუ სასოფლო-სამეურნეო მიწის იჯარა არ არის  დადებული წერილობითი ფორმით, მაშინ იგულისხმება, რომ ხელშეკრულება დადებულია განუსაზღვრელი ვადით.

4. საიჯარო ურთიერთობა წყდება ხელშეკრულების ვადის გასვლით.

წინადადება ხელშეკრულების გაგრძელებაზე ან მასზე უარი უნდა გაფორმდეს წერილობით.

5. მეუღლეებად ითვლებიან ის ფიზიკური პირები, რომელთა მეუღლეობა მტკიცდება ქორწინების რეგისტრაციის მოწმობით.

მუხლი 4. გადასახადით დასაბეგრი თანხის განსაზღვრა

1. გადასახადით დასაბეგრ თანხად ითვლება პირდაპირ ან არაპირდაპირ გადაცემული საკომპენსაციო თანხა, მაგრამ არანაკლებ საბაზრო ფასისა, მიღებული დავალიანების ჩათვლით. ქონების საბაზრო ფასი განისაზღვრება საქართველოს საგადასახადო კოდექსის 27-ე მუხლში მოცემულ დებულებათა შესაბამისად. ქონების საბაზრო ფასის განსაზღვრის, გადასახადის გაანგარიშებისა და გადახდის მიზნით გადამხდელის მიერ საგადასახადო ინსპექციას წარედგინება დეკლარაცია № 2 დანართის მიხედვით.

2. იჯარის შემთხვევაში დასაბეგრი თანხა გამოიანგარიშება იჯარის შესახებ ხელშეკრულების თანახმად გადასახდელი თანხის დისკონტირების გზით.

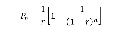
ხელშეკრულების თანახმად გადასახდელი თანხის დისკონტირება ხდება გადასახადის თანხის გამრავლებით დისკონტირების კოეფიციენტზე, რომელიც განისაზღვრება ფორმულით

სადაც r-არის საპროცენტო განაკვეთი, რომელიც ყოველი მოცემული პერიოდისათვის საქართველოს ეროვნული ბანკის ბანკთაშორის საკრედიტო აუქციონზე ჩამოყალიბებული საპროცენტო განაკვეთის ტოლია. ხოლო n – საგადასახადო წელთა რიცხვი.

3. ამ მუხლის მე-2 პუნქტში მოცემული ფორმულის მიხედვით, გაანგარიშებული დისკონტირების კოეფიციენტი მოცემულია ინსტრუქციის №1 დანართში.

მაგალითი: საიჯარო ხელშეკრულების შესაბამისად, შენობა, რომლის ღირებულება შეადგენს 50000 ლარს, იურიდიულმა პირმა იჯარით გადასცა მეორე იურიდიულ (ან ფიზიკურ) პირს 5 წლის ვადით. ყოველწლიური საიჯარო გადასახდელი (ქირა) შეადგენს 5000 ლარს, სულ 25000 ლარს, ხოლო საპროცენტო განაკვეთმა ბანკთაშორის საკრედიტო აუქციონზე შეადგინა 10 პროცენტი.

ამ შემთხვევაში, ხელშეკრულებით გათვალისწინებული ყოველწლიური საიჯარო გადასახდელის (5000) ლარის დისკონტირებული ღირებულების ჯამი იქნება 18955 ლარი (5000X3,791).

იმ შემთხვევაში თუ ხელშეკრულებით საიჯარო გადასახდელის გადახდა წლების მიხედვით არ არის დაყოფილი და გათვალისწინებულია მისი (25000 ლარის) ერთიანად გადახდა; მაშინ დისკონტირებული ღირებულება იანგარიშება საერთო გადასახდელიდან (25000 ლარი) გამომდინარე ერთ პერიოდზე, რაც შეადგენს 22725 ლარს (25000X0.909).

მუხლი 5. გადასახადის განაკვეთი

უძრავი ქონების გადაცემისათვის გადასახადის განაკვეთი განისაზღვრება დასაბეგრი თანხის 2 პროცენტის ოდენობით

მუხლი 6. უძრავი ქონების გადაცემისათვის გადასახადის გადახდისა და აღრიცხვის წესი

1. უძრავი ქონების გადაცემისათვის გადასახადი გადახდას ექვემდებარება წერილობითი დოკუმენტის მარეგისტრირებელ ორგანოში რეგისტრაციამდე. მარეგისტრირებელი ორგანო წერილობით დოკუმენტს რეგისტრაციაში ატარებს მხოლოდ გადასახადის გადახდის დამადასტურებელი დოკუმენტის წარდგენის შემდგომ. გადასახადის გადახდის დამადასტურებელ დოკუმენტს წარმოადგენს ამ ინსტრუქციის მე-4 მუხლის შესაბამისად საგადასახადო ინსპექციაში წარმოდგენილი და მის მიერ დამოწმებული დეკლარაცია, რომელშიც ცალკე ცნობის სახით კეთდება აღნიშვნა გადასახადის გადახდის შესახებ.

იმ შემთხვევაში, თუ გადამხდელი სარგებლობს შეღავათებით, მაშინ მარეგისტრირებელ ორგანოში წარდგენილი უნდა იქნეს საგადასახადო ინსპექციის მიერ გაცემული სათანადო ცნობა.

2. სამოქალაქო კოდექსის შესაბამისად ამ მუხლის მიზნებისათვის მარეგისტრირებელი ორგანოა საჯარო რეესტრის სამსახური, ხოლო ამ სამსახურის ჩამოყალიბებამდე ტექნიკური ინვენტარიზაციის ბიუროები და საქართველოს მიწის მართვის სახელმწიფო დეპარტამენტის სათანადო სამსახურები.

3. უძრავი ქონების გადაცემისათვის გადასახადის გადახდა ხდება უძრავი ქონების ადგილმდებარეობის მიხედვით, ამასთან მეწარმე ფიზიკური პირის ან იურიდიული პირის მიერ გადახდილი გადასახადი მიეკუთვნება ხარჯებს.

4. თუ წერილობითი დოკუმენტი რეგისტრაციაში არ ტარდება, მაშინ გადასახადის ამოღება ხდება საგადასახადო ინსპექციის მიერ ქონების გადაცემის მომენტში, რის შესახებაც გადასახადის გადამხდელი ქონების გადაცემიდან ან ხელშეკრულების დადებიდან 10 დღის განმავლობაში საგადასახადო ინსპექციაში წარადგენს დეკლარაციას ამ ინსტრუქციის № 2 დანართის მიხედვით.

5. 1998 წლის 1 იანვრამდე 3 წელზე მეტი ვადით დადებული საიჯარო ხელშეკრულებების მიხედვით, რომელთა მოქმედება გრძელდება 1998 წლის 1 იანვრის შემდეგ და ხელშეკრულების ვადის დარჩენილი ნაწილი მთლიანად მოიცავს 1998 წელს ან მის მომდევნო პერიოდებს. გადასახადი იანგარიშება 1998 წლის 1 იანვრის შემდგომ დარჩენილი საიჯარო პერიოდების პროპორციულად.

მაგალითი: საწარმომ უძრავი ქონების იჯარის შესახებ ხელშეკრულება 4 წლის ვადით გააფორმა 1996 წელს. ამ შემთხვევაში გადასახადი იანგარიშება 1998 და 1999 წლების მიხედვით გადასახდელი საიჯარო გადასახდელის დისკონტირებული თანხიდან გამომდინარე.

6. განუსაზღვრელი ვადით დადებული საიჯარო ხელშეკრულების მიხედვით, დისკონტირებული ღირებულება განისაზღვრება საიჯარო გადასახდელისა და ქონების საბაზრო ღირებულების მიხედვით განსაზღვრული პერიოდიდან გამომდინარე იმის გათვალისწინებით, თუ რა პერიოდში დაიფარება საიჯარო გადასახდელით ქონების საბაზრო ღირებულება.

მაგალითი: თუ საწარმომ უძრავი ქონება, რომლის საბაზრო ღირებულება შეადგენს 50000 ლარს, განუსაზღვრელი ვადით გადასცა იჯარით, ყოველწლიურად 5000 ლარის საიჯარო გადასახდელის გადახდევინებით, მაშინ უძრავი ქონების გადაცემისათვის გადასახადი გაიანგარიშება 10 საიჯარო პერიოდიდან გამომდინარე (50000:5000) განსაზღვრული დისკონტირებული ღირებულების მიხედვით.

თავი 2. მემკვიდრეობისა და ჩუქებისათვის გადასახადის გამოანგარიშების და გადახდის წესი

მუხლი 7. გადასახადის გადამხდელი

1. გადასახადის გადამხდელად ითვლება ფიზიკური ან იურიდიული პირი, რომელმაც ფიზიკური პირისაგან მემკვიდრეობით ან ჩუქებით საკუთრებაში მიიღო ნებისმიერი ქონება.

საგადასახადო კოდექსის 171-ე მუხლის შესაბამისად, მემკვიდრეობისა და ჩუქებისათვის გადასახადის გადამხდელია ის რეზიდენტი ფიზიკური ან იურიდიული პირი, რომელსაც არარეზიდენტ იურიდიულ პირში პირდაპირ ან არაპირდაპირ ეკუთვნის წილის 50 პროცენტი, იმ შემთხვევაში, თუ ეს არარეზიდენტი იურიდიული პირი მემკვიდრეობით ან ჩუქებით ქონებას იღებს საქართველოს ფარგლებს გარეთ.

2. ქონების გადამცემი ფიზიკური პირი იწოდება გადამცემ პირად.

3. თუ ფიზიკური პირი იყენებს იურიდიული პირის ქონებას უსასყიდლოდ გადაცემისათვის, ოპერაცია ფიზიკური პირის მიერ პირდაპირ განხორციელებულად ითვლება.

თუ იურიდიული პირის მეშვეობით ხდება ფიზიკური პირის ქონების უსასყიდლოდ გადაცემა სხვა ფიზიკურ ან იურიდიულ პირზე მაშინ ითვლება, რომ ოპერაცია განხორციელებულია პირდაპირ ფიზიკური პირის მიერ და ქონების მიმღები ითვლება გადასახადის გადამხდელად.

4. ქონება, სამოქალაქო კოდექსის მიხედვით, არის ყველა ნივთი და არამატერიალური ქონებრივი სიკეთე, რომელთა ფლობაც, სარგებლობა და განკარგვა შეუძლიათ ფიზიკურ და იურიდიულ პირებს და რომელთა შეძენაც შეიძლება შეუზღუდავად, თუკი ეს აკრძალული არ არის კანონით ან ეწინააღმდეგება ზნეობრივ ნორმებს.

ქონება (ნივთი) შეიძლება იყოს მოძრავი ან უძრავი.

არამატერიალური ქონებრივი სიკეთე არის ის მოთხოვნები და უფლებები, რომლებიც შეიძლება გადაეცეს სხვა პირებს ან გამიზნულია საიმისოდ, რომ მათ მფლობელს შეექმნას მატერიალური სარგებელი, ანდა მიენიჭოს უფლება მოსთხოვოს სხვა პირებს რაიმე.

მუხლი 8. დაბეგვრის ობიექტი

1. გადასახადისაგან თავისუფლდება:

ა) ჩუქებით ან გარდაცვლილი პირისაგან ქონების მემკვიდრეობით მიღება პირველი და მეორე  რიგის მემკვიდრეების მიერ. პირველი და მეორე რიგის მემკვიდრეები განისაზღვრება საქართველოს სამოქალაქო კოდექსის 1336-ე მუხლის შესაბამისად;

ბ) 50 000 ლარის ღირებულების ქონება მემკვიდრეობით მიღებისას;

გ) 1000 ლარის ღირებულების ქონება ჩუქებისას.

2. 1000 ლარის ღირებულების ქონების ჩუქების გადასახადისაგან გათავისუფლება ერთსა და იმავე გადამცემი პირის მიერ ერთსა და იმავე მიმღები პირისათვის კალენდარული წლის განმავლობაში დაიშვება მხოლოდ ერთხელ.

მუხლი 10. საგადასახადო ბაზის განსაზღვრა

საგადასახადო ბაზად ითვლება ქონების საშუალო საბაზრო ფასი მისი მიღების მომენტში შემდეგი გამოქვითვებით:

ა. მემკვიდრეობის მიღებისას – მემკვიდრეობის ადმინისტრირების ხარჯები და გარდაცვლილის ვალები;

ბ. მიმღები პირის მიერ ანაზღაურებული კომპენსაციის თანხა თავის თავზე აღებული ვალების ჩათვლით.

მაგალითი: შენობის საბაზრო ფასია 90 000 ლარი, მისი მემკვიდრეობით მიღებისას მემკვიდრეობის ადმინისტრირების ხარჯებმა და გარდაცვლილის ვალებმა შეადგინა 7 000 ლარი. ამ შემთხვევაში საგადასახადო ბაზა გამოქვითვების გათვალისწინებით იქნება 33 000 ლარი (90 000- 7 000 – 50 000).

მუხლი 11. გადასახადის განაკვეთები

გადასახადის განაკვეთი შეადგენს 30 პროცენტს იმ პირებისათვის, რომლებიც არ არიან პირველი და მეორე რიგის მემკვიდრეები.

მუხლი 12. გადასახადის გადახდის წესი

1. გადასახადის გადამხდელი გადასახადს იხდის დამოუკიდებლად საგადასახადო ორგანოს მიერ წერილობითი შეტყობინების გარეშე.

2. გადასახადის გადამხდელი ქონების მემკვიდრეობით მიღებისას გადასახადს იხდის სანოტარო მოქმედებათა აღმასრულებელი უფლებამოსილი დაწესებულების ან ნოტარიუსის მიერ მემკვიდრეობაზე უფლების შესახებ დამადასტურებელი დოკუმენტის გაცემის დღიდან არაუგვიანეს ექვსი თვისა, ხოლო ჩუქებით ქონების მიღებისას – ჩუქების შესახებ ხელშეკრულების გაფორმებიდან არაუგვიანეს ერთი თვისა.

3. გადასახადის გადახდა ხდება ქონების მიმღები პირის საცხოვრებელი ადგილის მიხედვით, ამასთან გადასახადის გადამხდელი ვალდებულია ამ მუხლის მე-2 პუნქტით გათვალისწინებულ ვადებში საგადასახადო ინსპექციას წარუდგინოს დეკლარაცია ამ ინსტრუქციის № 2 დანართის მიხედვით.

მუხლი 13. წინა გადაცემისათვის გადახდილი გადასახადის ჩათვლა

1. თუ ქონების გადაცემა იბეგრება, ხოლო მიმღები პირი გარდაიცვალა ქონების მიღებიდან ორი წლის განმავლობაში, ქონების პირველი გადაცემისას გადახდილი გადასახადი ჩაითვლება მიმღები პირის გარდაცვალების გამო წარმოშობილ გადასახადის თანხაში; თუ მიმღები პირი გარდაიცვალა ქონების მიღებიდან 3 წლის განმავლობაში, მაშინ ჩაითვლება უკვე გადახდილი გადასახადის 80 პროცენტი; თუ მიმღები პირი გარდაიცვალა 4 წლის განმავლობაში – 60 პროცენტისა, ხოლო, თუ 5 წლის განმავლობაში – 40 პროცენტისა.

2. ქონების პირველი გადაცემისათვის გადახდილი გადასახადის ჩათვლა ხდება გადასახადის გადახდის დამადასტურებელი დოკუმენტისა და ქონების პირველ გადაცემაზე დეკლარაციის საფუძველზე, რომელთა ასლიც ქონების მიმღების მიერ დეკლარაციასთან ერთად წარედგინება საგადასახადო ინსპექციას.

მაგალითი: ფიზიკურ პირზე ქონების მემკვიდრეობით მიღებაზე დამადასტურებელი დოკუმენტი გაიცა 1998 წლის 1 თებერვალს, პირი ვალდებულია ქონების მემკვიდრეობით მიღების გადასახადი, რამაც 18000 ლარი შეადგინა გადაიხადოს არა უგვიანეს 1998 წლის 1 აგვისტოს; თუ პირი გარდაიცვალა 2000 წლის 16 იანვარს, ქონების პირველი გადაცემისას გადახდილი გადასახადი ჩაითვლება მიმღები პირის გარდაცვალების გამო წარმოშობილ გადასახადის თანხაში; თუ იგი გარდაიცვალა 2001 წლის 16 იანვარს, მაშინ ჩაითვლება გადახდილი გადასახადის 80 პროცენტი, ანუ 14 400 ლარი, (18 000 x 80%) და ა. შ.

მუხლი 14. უცხო ქვეყანაში გადახდილი გადასახადის ჩათვლა

უცხო ქვეყანაში არსებული ნაჩუქარი ან მემკვიდრეობით დატოვებული ქონების გადასახადის გადახდევინებისას ჩათვლა ხდება იმ ქვეყანაში გადახდილ თანხასთან მიმართებით. ჩაითვლება თანხა, რომელიც გადახდილ იქნა მემკვიდრეობით ან ჩუქებით დატოვებულ აქტივებზე დარიცხული გადასახადით, ამასთან ჩათვლა მოხდება უცხო ქვეყანაში გადასახადის გადახდის დამადასტურებელი დოკუმენტის საფუძველზე, რომელიც დამოწმებული უნდა იყოს შესაბამისი ქვეყნის საგადასახადო სამსახურის მიერ.

მაგალითი: უცხო ქვეყანაში არსებული ნაჩუქარი თუ მემკვიდრეობით დატოვებული ქონების საგადასახადო ბაზაა 75 000 ლარი, მასზე ამ ქვეყანაში გადახდილი იქნა 15 000 ლარი, საქართველოში გადახდას ექვემდებარება 7 500 ლარი (75 000 X 30% – 15 000).

თავი 3. ავტოსატრანსპორტო საშუალებების გადაცემისათვის გადასახადის გამოანგარიშების და გადახდის წესი

მუხლი 15. გადასახადის გადამხდელები

ავტოსატრანსპორტო საშუალების გადაცემისათვის გადასახადის გადამხდელია ქონების მიმღები.

მუხლი 16. დაბეგვრის ობიექტი

დაბეგვრის ობიექტია ავტოსატრანსპორტო საშუალება, რომელიც განსაზღვრულია საგარეო ეკონომიკურ ურთიერთობათა სასაქონლო ნომენკლატურის 87-ე თავში  8702-8704 კოდით (კერძოდ 8702 – ავტომობილები, რომელთა დანიშნულებაა არა ნაკლებ 10 ადამიანის (მძღოლის ჩათვლით) გადაყვანა; 8703 მსუბუქი ავტომობილები და დანარჩენი ძრავიანი სატრანსპორტო საშუალებები, რომელთა დანიშნულებაა მგზავრთა გადაყვანა (იმ ავტომობილების გარდა, რომელიც მოცემულია №8702 სასაქონლო პოზიციის კლასიფიკაციაში) ფურგუნების, სატვირთო-სამგზავრო და სარბოლო ავტომობილების ჩათვლით; 8704- სატვირთო ავტომობილები) და რომელზედაც საკუთრება რეგისტრირებულია ან გადარეგისტრირებულია საქართველოში.

მუხლი 17. საგადასახადო შეღავათები

1. დაბეგვრისაგან თავისუფლდება:

ა. ავტომობილის რეგისტრაცია ან ხელახალი რეგისტრაცია საქართველოში მის შემომტანის მიერ, თუ დღგ გადახდილი იქნა იმპორტის დროს;

ბ. ავტომობილის რეგისტრაცია ან ხელახალი რეგისტრაცია მყიდველის მიერ, თუ გადამყიდველმა დღგ გადაიხადა ავტომობილის მყიდველისათვის მიწოდებისას;

გ. ავტომობილის მეუღლისათვის, მშობლისათვის ან შვილისათვის გადაცემა;

დ. ავტომობილის გადაცემა განქორწინების საფუძველზე;

ე. ავტომობილის უსასყიდლოდ გადაცემა სახელმწიფოსათვის, საბიუჯეტო, საქველმოქმედო ან რელიგიური ორგანიზაციებისათვის;

ვ. ავტომობილის გადაცემა რეორგანიზაციის შემთხვევაში, იურიდიული პირის რეორგანიზაციის შესახებ დოკუმენტის საფუძველზე.

2. ამ მუხლის პირველი პუნქტის „ა“ და „ბ“ ქვეპუნქტებით გათვალისწინებული შეღავათების მინიჭებისათვის საჭიროა საგადასახადო ინსპექციაში წარდგენილ იქნეს შესაბამისი საბაჟო და საგადასახადო ორგანოს მიერ გაცემული ცნობა, რომელიც ადასტურებს ავტომობილის შემომტანისა და გამყიდველის მიერ დღგ გადახდის ფაქტს.

მუხლი 18. დასაბეგრი თანხის განსაზღვრა

დასაბეგრ თანხად ითვლება პირდაპირ ან არაპირდაპირ გადაცემული საკომპენსაციო თანხა, მიღებული დავალიანების ჩათვლით, მაგრამ არანაკლებ საბაზრო ფასისა. საბაზრო ფასი განისაზღვრება საგადასახადო კოდექსის 27-ე მუხლის მოთხოვნათა შესაბამისად, საბაზრო ფასის განსაზღვრის, გადასახადის გაანგარიშებისა და გადახდისათვის ქონების მიმღების მიერ საგადასახადო ინსპექციას წარედგინება დეკლარაცია ინსტრუქციის №2 დანართის მიხედვით.

მუხლი 19. გადასახადის განაკვეთი

გადასახადის განაკვეთი განისაზღვრება დასაბეგრი თანხის 2 პროცენტის ოდენობით.

მუხლი 20. გადასახადის გადახდის წესი

1. გადასახადი ექვემდებარება გადახდას მარეგისტრირებელ ორგანოში ავტომობილზე საკუთრების რეგისტრაციამდე ან ხელახალ რეგისტრაციამდე. მარეგისტრირებელი ორგანო ავტომობილზე საკუთრების რეგისტრაციას ან ხელახალ რეგისტრაციას ახდენს მხოლოდ გადასახადის გადახდის შემდეგ. გადასახადის გადახდის დამადასტურებელ დოკუმენტს წარმოადგენს ამ ინსტრუქციას მე-18 მუხლის შესაბამისად საგადასახადო ინსპექციაში წარდგენილი და მის მიერ დამოწმებული დეკლარაცია, რომელშიც ცალკე ცნობის სახით კეთდება აღნიშვნა გადასახადის გადახდის შესახებ. იმ შემთხვევაში თუ გადამხდელი სარგებლობს შეღავათებით, მაშინ მარეგისტრირებელ ორგანოში წარდგენილი უნდა იქნეს საგადასახადო ინსპექციის მიერ გაცემული სათანადო ცნობა.

2. გადასახადის გადახდა ხდება ქონების მიმღების ადგილმდებარეობის მიხედვით.

მუხლი 21. ქონების გადაცემისათვის გადასახადის გადამხდელთა პასუხისმგებლობა

პასუხისმგებლობა ქონების გადაცემისათვის გადასახადის არასწორად გამოანგარიშებისათვის, ბიუჯეტში დროულად გადაუხდელობისათვის და დეკლარაციის დადგენილ ვადებში წარუდგენლობისათვის ეკისრება გადასახადის გადამხდელს.

 

უფროსის პირველი

მოადგილე                               თ. დვალი